🇳🇴 🇬🇧 🇩🇪 🇨🇿 🇫🇮

Meteor, poloha: Hauge i Dalane 2016-12-13 17:59:10 UTC

Soubor KML  |  InteraktivnĂ­ mapa

Mapa zobrazuje dráhy meteoru. Světlejší čáry ukazují směry od pozorovacích stanic při objevení se meteoru a tmavší čáry, kde byl naposledy viděn. Modrá šipka značí viditelnou dráhu meteoru.

static map
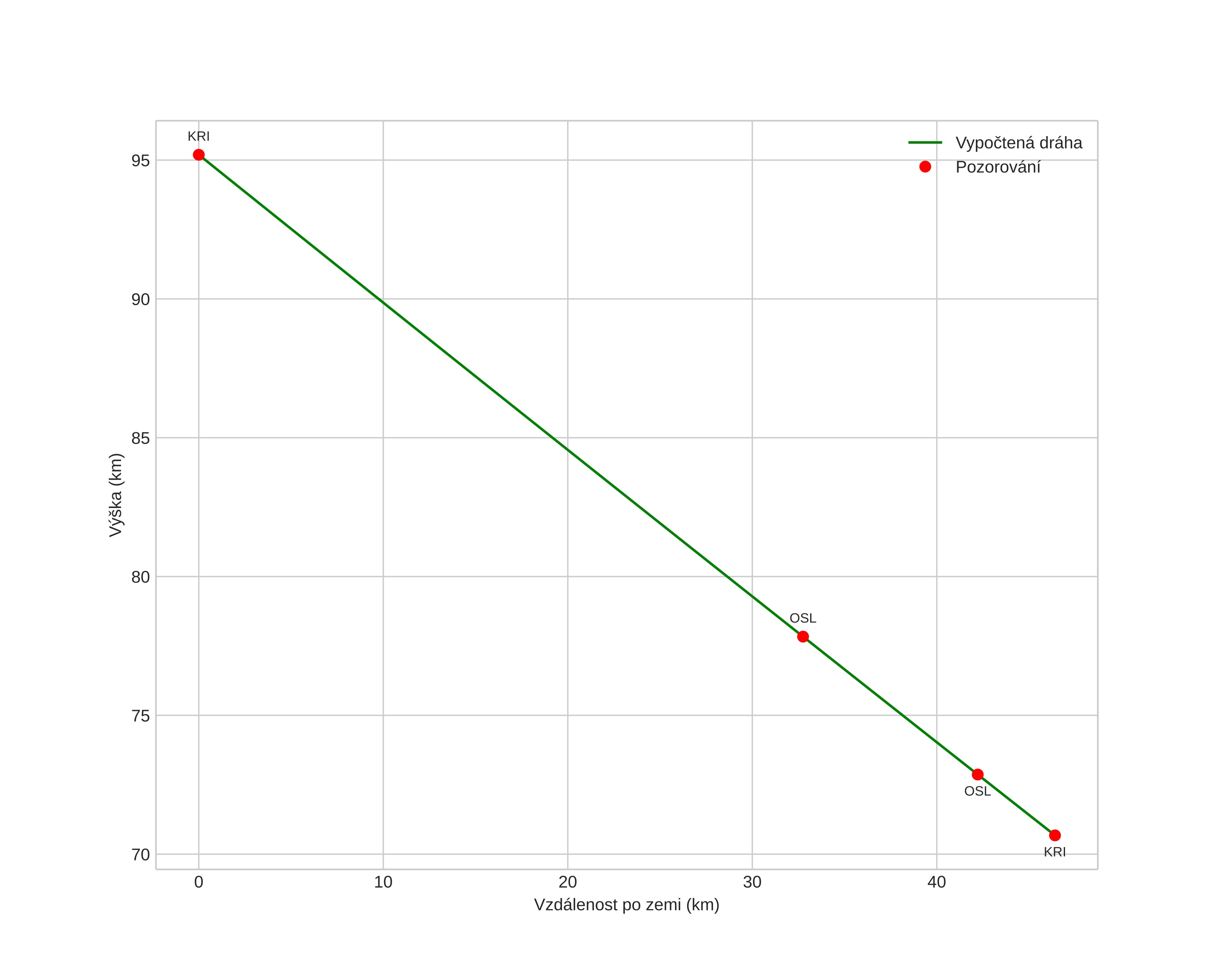
height profile
Atmosférická dráha meteoru:
Počáteční výška: 95,2 km
Konečná výška: 70,7 km
Počáteční poloha: 58,456N 7,052E
Konečná poloha: 58,366N 6,274E
Směr: 257,9°
Sklon: 27,8°
VstupnĂ­ rychlost: 29,3 km/s
Rektascenze radiantu: 05:41 (85,3°)
Deklinace radiantu: 27,7°
MeteorickĂ˝ roj: sporadickĂ˝
Elementy dráhy meteoroidu:
Vzdálenost v periheliu: 0,477 AU
Excentricita: 0,856
Sklon dráhy: 4,0°
Délka vzestupného uzlu: 261,9°
Argument perihelia: 276,7°
Střední anomálie: 353,2°
Epocha: 2016 DEC 13 17:59:10
orbit plot

NeinteraktivnĂ­ graf | InteraktivnĂ­ graf

position vs time
speed and acceleration