🇳🇴 🇬🇧 🇩🇪 🇨🇿 🇫🇮

Meteor, poloha: Rotnes 2016-12-13 18:16:25 UTC

Soubor KML  |  InteraktivnĂ­ mapa

Mapa zobrazuje dráhy meteoru. Světlejší čáry ukazují směry od pozorovacích stanic při objevení se meteoru a tmavší čáry, kde byl naposledy viděn. Modrá šipka značí viditelnou dráhu meteoru.

static map
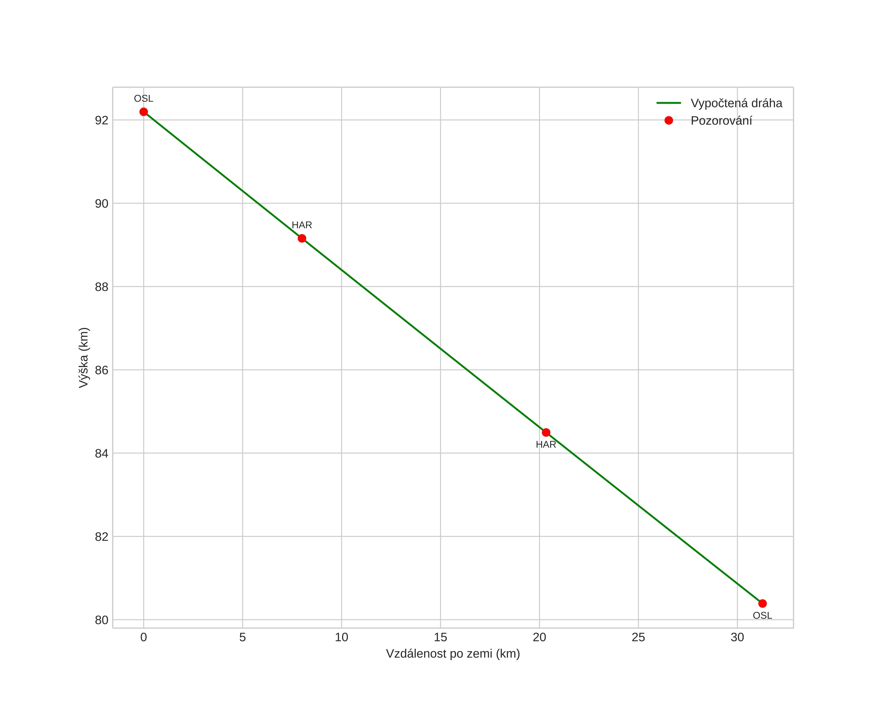
height profile
Atmosférická dráha meteoru:
Počáteční výška: 92,2 km
Konečná výška: 80,4 km
Počáteční poloha: 60,190N 11,323E
Konečná poloha: 60,051N 10,832E
Směr: 240,8°
Sklon: 20,7°
VstupnĂ­ rychlost: 34,9 km/s
Rektascenze radiantu: 07:37 (114,5°)
Deklinace radiantu: 30,6°
MeteorickĂ˝ roj: Geminidy
Elementy dráhy meteoroidu:
Vzdálenost v periheliu: 0,135 AU
Excentricita: 0,885
Sklon dráhy: 19,6°
Délka vzestupného uzlu: 261,9°
Argument perihelia: 326,9°
Střední anomálie: 330,4°
Epocha: 2016 DEC 13 18:16:25
orbit plot

NeinteraktivnĂ­ graf | InteraktivnĂ­ graf

position vs time
speed and acceleration