🇳🇴 🇬🇧 🇩🇪 🇨🇿 🇫🇮

Meteor, poloha: Treungen 2016-12-13 18:28:09 UTC

Soubor KML  |  InteraktivnĂ­ mapa

Mapa zobrazuje dráhy meteoru. Světlejší čáry ukazují směry od pozorovacích stanic při objevení se meteoru a tmavší čáry, kde byl naposledy viděn. Modrá šipka značí viditelnou dráhu meteoru.

static map
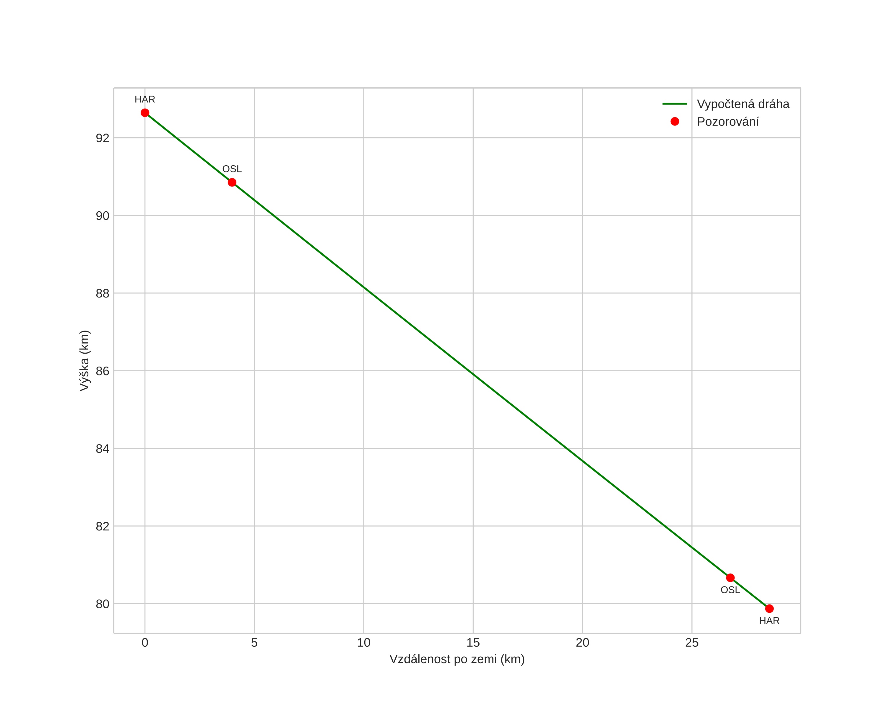
height profile
Atmosférická dráha meteoru:
Počáteční výška: 92,6 km
Konečná výška: 79,9 km
Počáteční poloha: 59,262N 9,055E
Konečná poloha: 59,138N 8,616E
Směr: 241,5°
Sklon: 24,0°
VstupnĂ­ rychlost: 34,4 km/s
Rektascenze radiantu: 07:27 (111,8°)
Deklinace radiantu: 33,4°
MeteorickĂ˝ roj: Geminidy
Elementy dráhy meteoroidu:
Vzdálenost v periheliu: 0,176 AU
Excentricita: 0,864
Sklon dráhy: 21,7°
Délka vzestupného uzlu: 262,0°
Argument perihelia: 320,6°
Střední anomálie: 333,7°
Epocha: 2016 DEC 13 18:28:09
orbit plot

NeinteraktivnĂ­ graf | InteraktivnĂ­ graf

position vs time
speed and acceleration