🇳🇴 🇬🇧 🇩🇪 🇨🇿 🇫🇮

Meteor, poloha: Fyresdal 2016-12-13 19:59:26 UTC

Soubor KML  |  InteraktivnĂ­ mapa

Mapa zobrazuje dráhy meteoru. Světlejší čáry ukazují směry od pozorovacích stanic při objevení se meteoru a tmavší čáry, kde byl naposledy viděn. Modrá šipka značí viditelnou dráhu meteoru.

static map
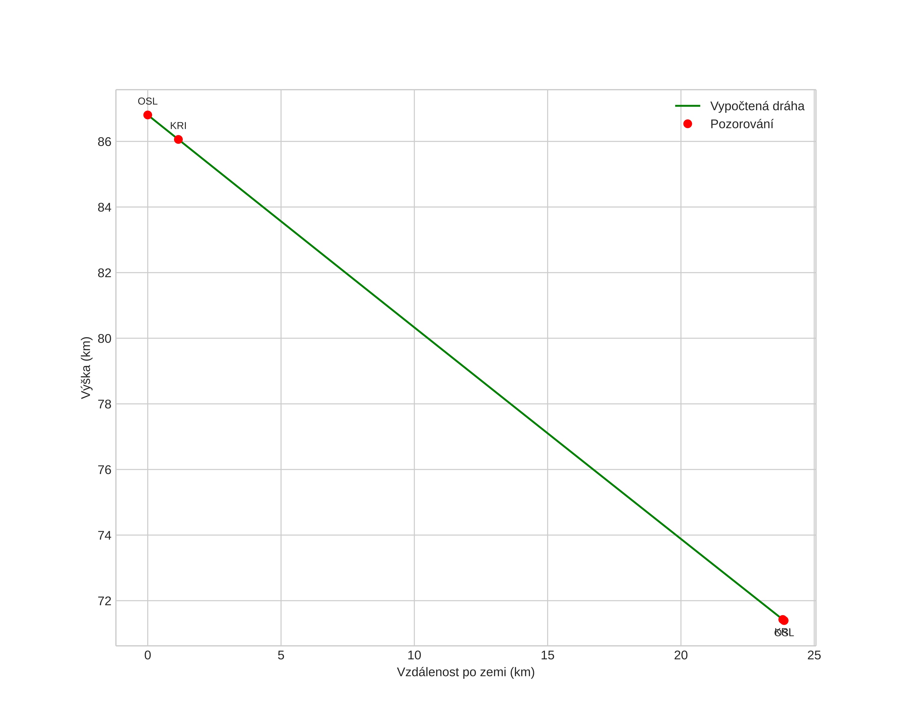
height profile
Atmosférická dráha meteoru:
Počáteční výška: 86,8 km
Konečná výška: 71,4 km
Počáteční poloha: 59,268N 8,291E
Konečná poloha: 59,219N 7,882E
Směr: 257,0°
Sklon: 32,8°
VstupnĂ­ rychlost: 34,0 km/s
Rektascenze radiantu: 07:35 (113,9°)
Deklinace radiantu: 33,1°
MeteorickĂ˝ roj: Geminidy
Elementy dráhy meteoroidu:
Vzdálenost v periheliu: 0,162 AU
Excentricita: 0,862
Sklon dráhy: 22,1°
Délka vzestupného uzlu: 262,0°
Argument perihelia: 323,5°
Střední anomálie: 329,4°
Epocha: 2016 DEC 13 19:59:26
orbit plot

NeinteraktivnĂ­ graf | InteraktivnĂ­ graf

position vs time
speed and acceleration