🇳🇴 🇬🇧 🇩🇪 🇨🇿 🇫🇮

Meteor over Kopparberg 2016-12-13 20:50:44 UTC

KML-fil  |  Interaktivt kart

Kartet viser peilingene for meteoren. De lysere linjene viser retningene fra observasjonsstedene for meteorens tilsynekomst, og de mørkere linjene viser hvor den sist kunne sees. Den blå pila viser meteorens synlige ferd.

static map
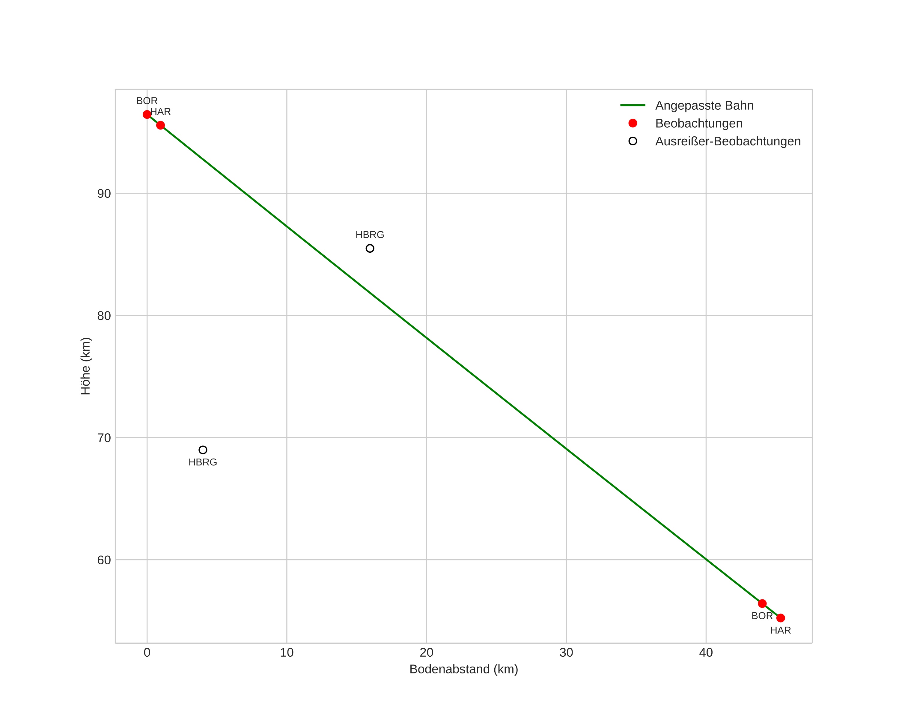
height profile
Meteorens atmosfæriske bane:
Starthøgde: 96,4 km
Slutthøgde: 55,2 km
Startposisjon: 59,686N 15,767E
Sluttposisjon: 59,720N 14,962E
Retning: 275,1°
Fallvinkel: 42,3°
Inngangshastighet: 35,6 km/s
Radiantens rektascensjon: 07:33 (113,4°)
Radiantens deklinasjon: 32,3°
Meteorsverm: Geminidene
Meteoroidens baneelement:
Perihelavstand: 0,148 AU
Eksentrisitet: 0,886
Inklinasjon: 22,5°
Knutelengde: 262,1°
Perihelargument: 324,0°
Midlere anomali: 334,8°
Epoke: 2016 DEC 13 20:50:44
orbit plot

Ikke-interaktivt plott | Interaktivt plott

position vs time
speed and acceleration

Harestua (HAR) cam3


gnomonic
Videoer
• Gnomonisk
• Gnomonisk med koordinater
• Original
• Original med koordinater
Bilder
• Gnomonisk
• Gnomonisk med koordinater
• Ukorrigert gnomonisk med koordinater
• Gnomonisk med annotering
• Ukorrigert gnomonisk med annotering
• Original
• Original med koordinater
• Original med maske
Tekstfiler
• Deteksjon
• Observasjon
• Koordinater
• Feilmeldinger
• Logg
Lysstyrke