🇳🇴 🇬🇧 🇩🇪 🇨🇿 🇫🇮

Meteor Kopparbergin yllä 2016-12-13 20:50:44 UTC

KML-tiedosto  |  Interaktiivinen kartta

Kartta näyttää meteorin suuntahavainnot. Vaaleammat viivat näyttävät suunnat havaintoasemilta meteorin ilmestyessä, ja tummemmat viivat näyttävät, missä se viimeksi nähtiin. Sininen nuoli näyttää meteorin näkyvän lennon.

static map
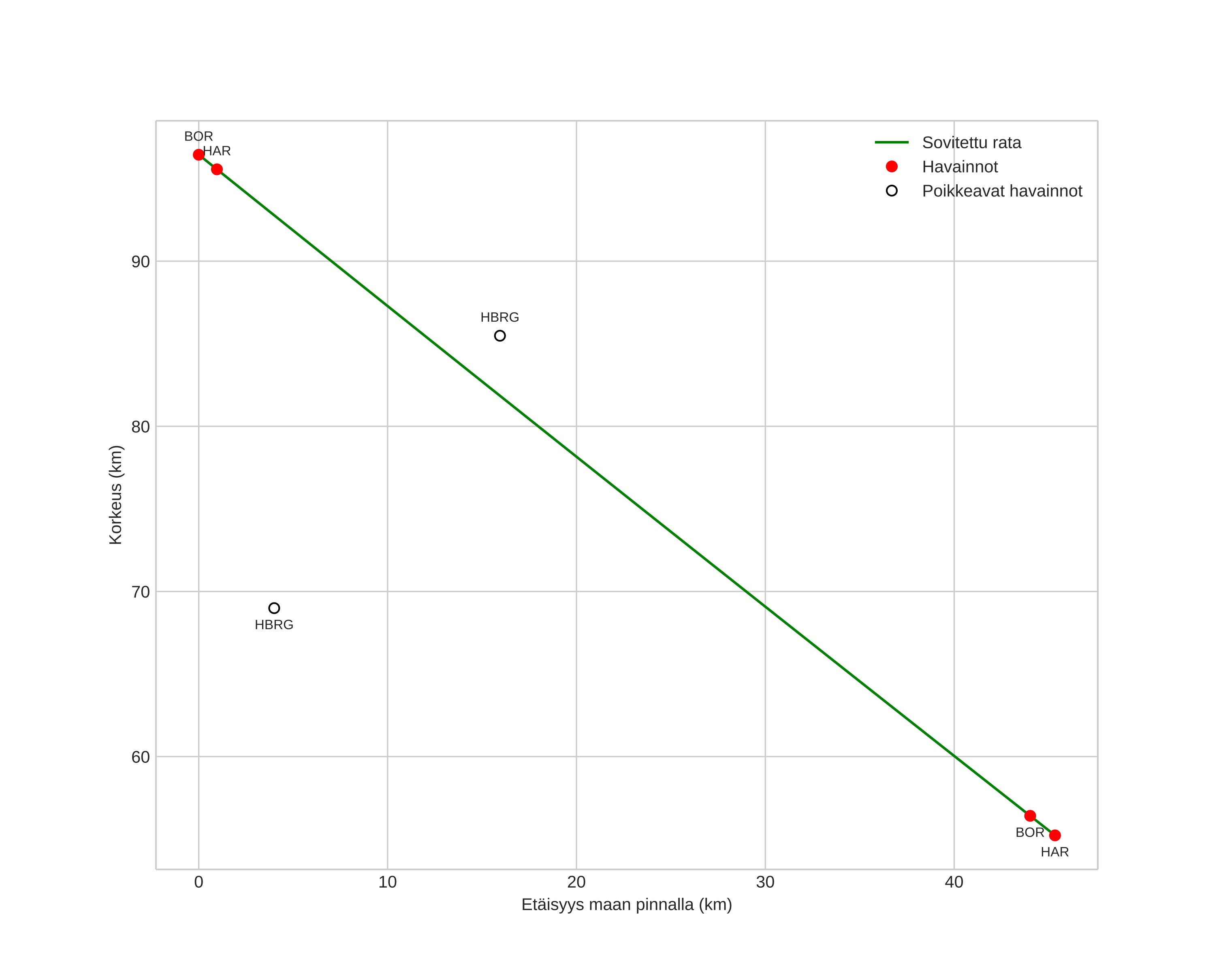
height profile
Meteorin ilmakehärata:
Alkukorkeus: 96,4 km
Loppukorkeus: 55,2 km
Alkupiste: 59,686N 15,767E
Loppupiste: 59,720N 14,962E
Suunta: 275,1°
Kallistuskulma: 42,3°
Tulonopeus: 35,6 km/s
Radiantin R,A,: 07:33 (113,4°)
Radiantin Dekl,: 32,3°
Meteoriparvi: Geminidit
Meteoroidin rataelementit:
Perihelietäisyys: 0,148 AU
Eksentrisyys: 0,886
Inklinaatio: 22,5°
Nousevan solmun pituus: 262,1°
Perihelin argumentti: 324,0°
Keskianomalia: 334,8°
Epookki: 2016 DEC 13 20:50:44
orbit plot

Ei-interaktiivinen kuvaaja | Interaktiivinen kuvaaja

position vs time
speed and acceleration