🇳🇴 🇬🇧 🇩🇪 🇨🇿 🇫🇮

Meteor, poloha: Byrum 2016-12-13 22:18:16 UTC

Soubor KML  |  InteraktivnĂ­ mapa

Mapa zobrazuje dráhy meteoru. Světlejší čáry ukazují směry od pozorovacích stanic při objevení se meteoru a tmavší čáry, kde byl naposledy viděn. Modrá šipka značí viditelnou dráhu meteoru.

static map
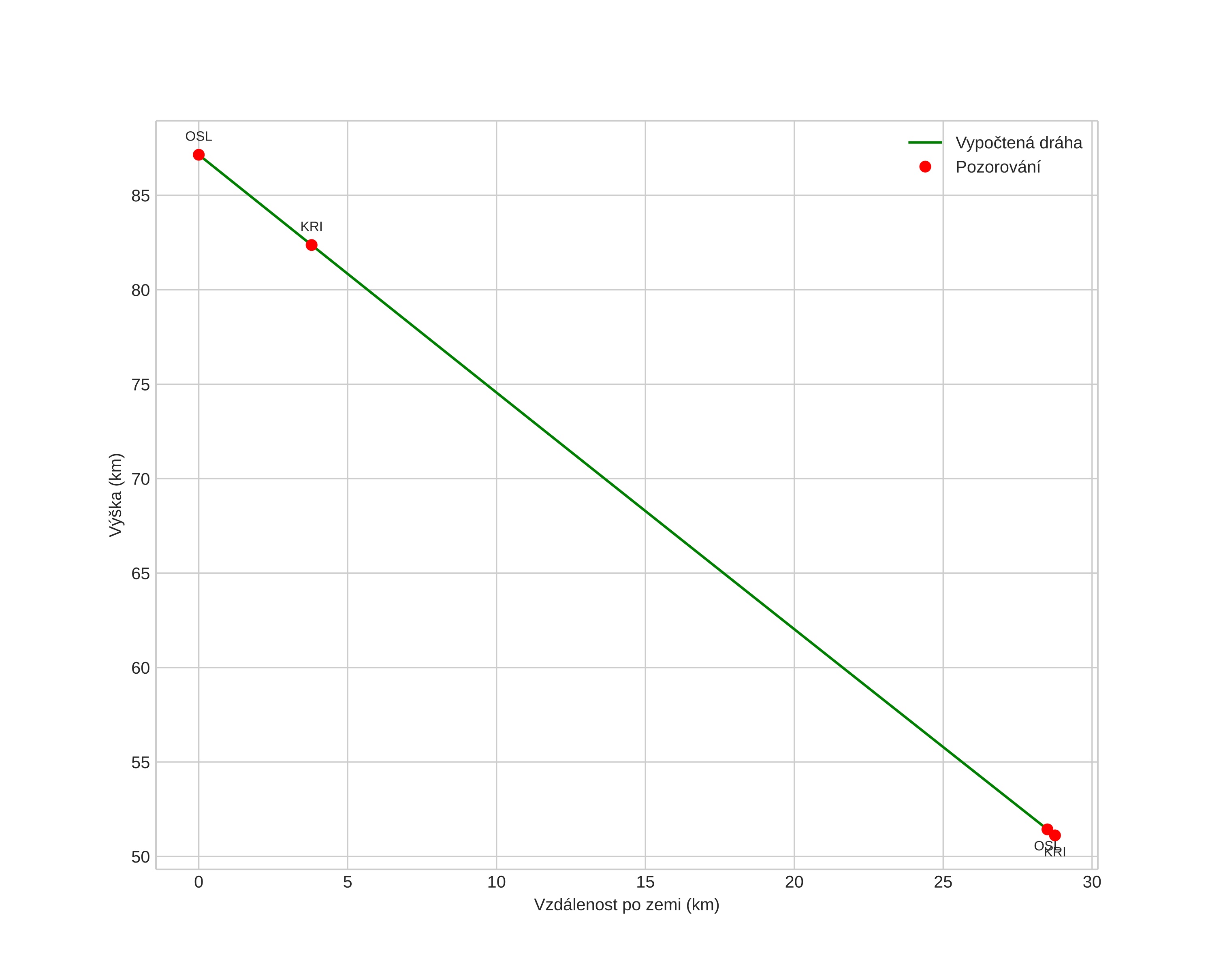
height profile
Atmosférická dráha meteoru:
Počáteční výška: 87,1 km
Konečná výška: 51,1 km
Počáteční poloha: 57,461N 11,458E
Konečná poloha: 57,546N 11,004E
Směr: 289,4°
Sklon: 51,4°
VstupnĂ­ rychlost: 36,6 km/s
Rektascenze radiantu: 07:34 (113,7°)
Deklinace radiantu: 32,5°
MeteorickĂ˝ roj: Geminidy
Elementy dráhy meteoroidu:
Vzdálenost v periheliu: 0,140 AU
Excentricita: 0,899
Sklon dráhy: 24,3°
Délka vzestupného uzlu: 262,1°
Argument perihelia: 324,3°
Střední anomálie: 337,4°
Epocha: 2016 DEC 13 22:18:16
orbit plot

NeinteraktivnĂ­ graf | InteraktivnĂ­ graf

position vs time
speed and acceleration