🇳🇴 🇬🇧 🇩🇪 🇨🇿 🇫🇮

Meteor, poloha: Arvika 2016-12-14 00:02:18 UTC

Soubor KML  |  InteraktivnĂ­ mapa

Mapa zobrazuje dráhy meteoru. Světlejší čáry ukazují směry od pozorovacích stanic při objevení se meteoru a tmavší čáry, kde byl naposledy viděn. Modrá šipka značí viditelnou dráhu meteoru.

static map
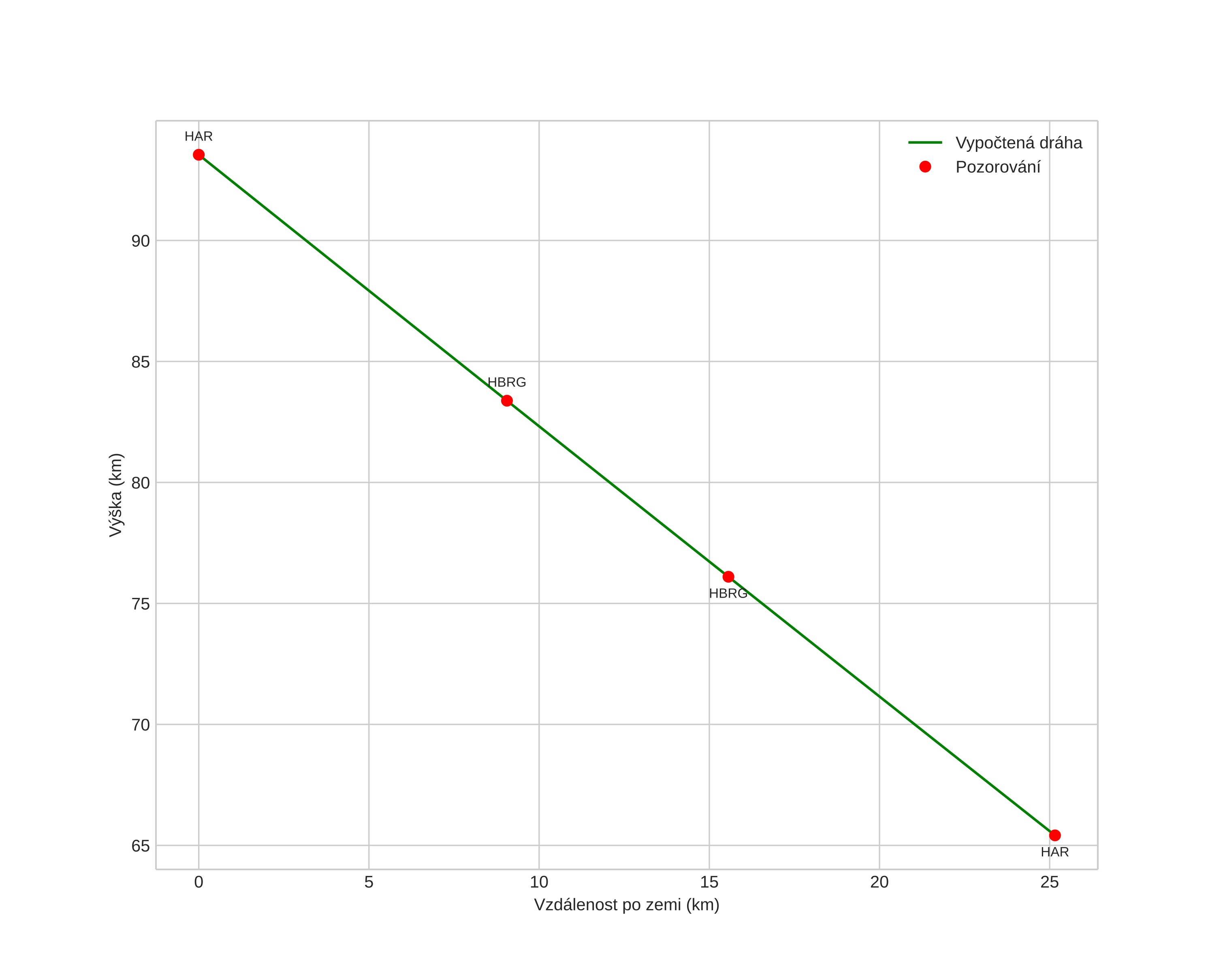
height profile
Atmosférická dráha meteoru:
Počáteční výška: 93,5 km
Konečná výška: 65,4 km
Počáteční poloha: 59,763N 13,024E
Konečná poloha: 59,888N 12,650E
Směr: 303,8°
Sklon: 48,2°
VstupnĂ­ rychlost: 73,0 km/s
Rektascenze radiantu: 08:59 (134,8°)
Deklinace radiantu: 27,0°
MeteorickĂ˝ roj: sporadickĂ˝
Elementy dráhy meteoroidu:
Vzdálenost v periheliu: 0,288 AU
Excentricita: 1,375
Sklon dráhy: 151,6°
Délka vzestupného uzlu: 262,2°
Argument perihelia: 282,8°
Střední anomálie: -41,7°
Epocha: 2016 DEC 14 00:02:18
orbit plot

NeinteraktivnĂ­ graf | InteraktivnĂ­ graf

position vs time
speed and acceleration