🇳🇴 🇬🇧 🇩🇪 🇨🇿 🇫🇮

Meteor Sunnen yllä 2016-12-14 00:08:49 UTC

KML-tiedosto  |  Interaktiivinen kartta

Kartta näyttää meteorin suuntahavainnot. Vaaleammat viivat näyttävät suunnat havaintoasemilta meteorin ilmestyessä, ja tummemmat viivat näyttävät, missä se viimeksi nähtiin. Sininen nuoli näyttää meteorin näkyvän lennon.

static map
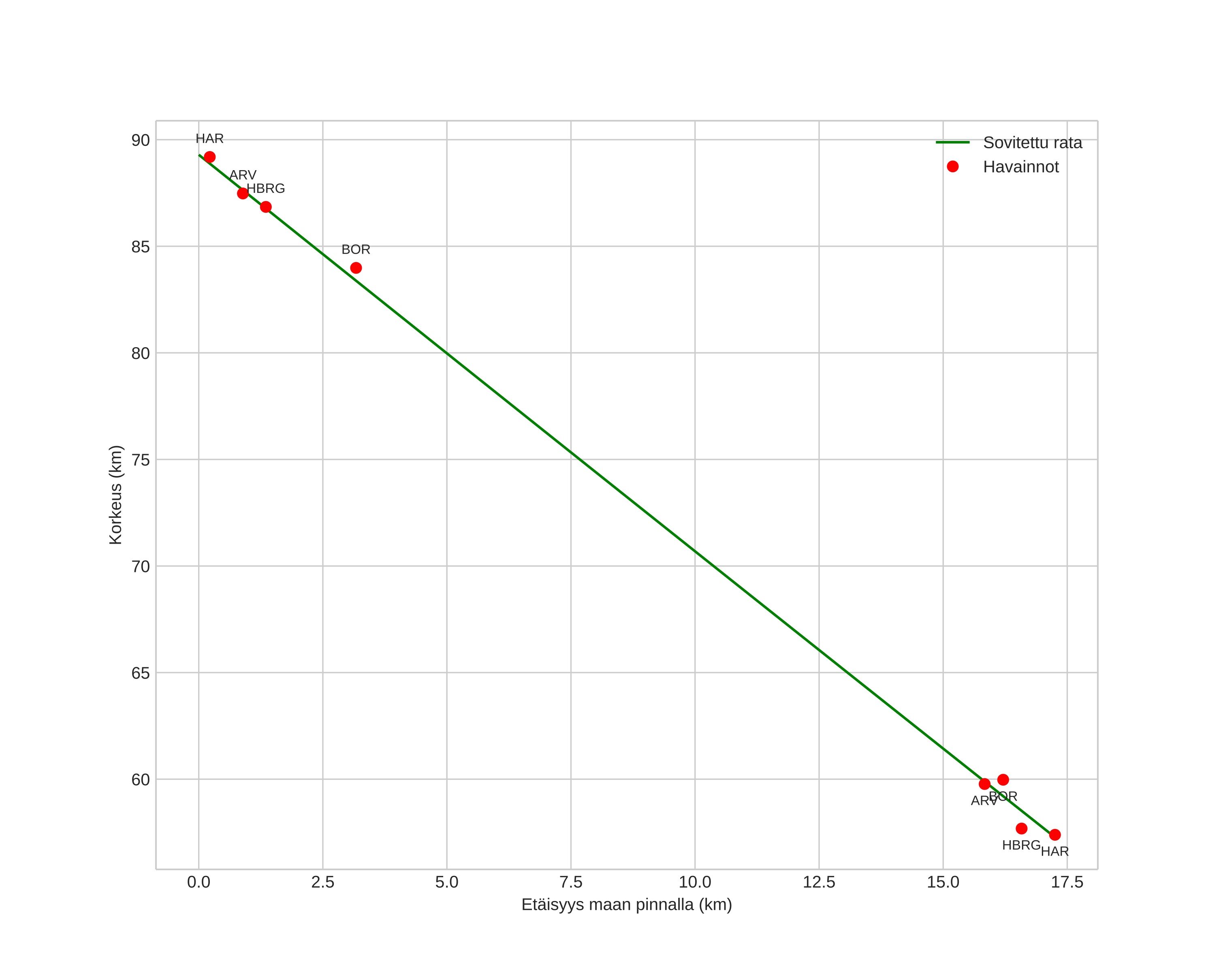
height profile
Meteorin ilmakehärata:
Alkukorkeus: 89,3 km
Loppukorkeus: 57,4 km
Alkupiste: 59,799N 13,448E
Loppupiste: 59,934N 13,298E
Suunta: 331,0°
Kallistuskulma: 61,7°
Tulonopeus: 35,2 km/s
Radiantin R,A,: 07:36 (114,2°)
Radiantin Dekl,: 32,7°
Meteoriparvi: Geminidit
Meteoroidin rataelementit:
Perihelietäisyys: 0,149 AU
Eksentrisyys: 0,881
Inklinaatio: 23,4°
Nousevan solmun pituus: 262,2°
Perihelin argumentti: 324,3°
Keskianomalia: 333,1°
Epookki: 2016 DEC 14 00:08:49
orbit plot

Ei-interaktiivinen kuvaaja | Interaktiivinen kuvaaja

position vs time
speed and acceleration