🇳🇴 🇬🇧 🇩🇪 🇨🇿 🇫🇮

Meteor, poloha: Järna 2016-12-14 00:52:59 UTC

Soubor KML  |  Interaktivní mapa

Mapa zobrazuje dráhy meteoru. Světlejší čáry ukazují směry od pozorovacích stanic při objevení se meteoru a tmavší čáry, kde byl naposledy viděn. Modrá šipka značí viditelnou dráhu meteoru.

static map
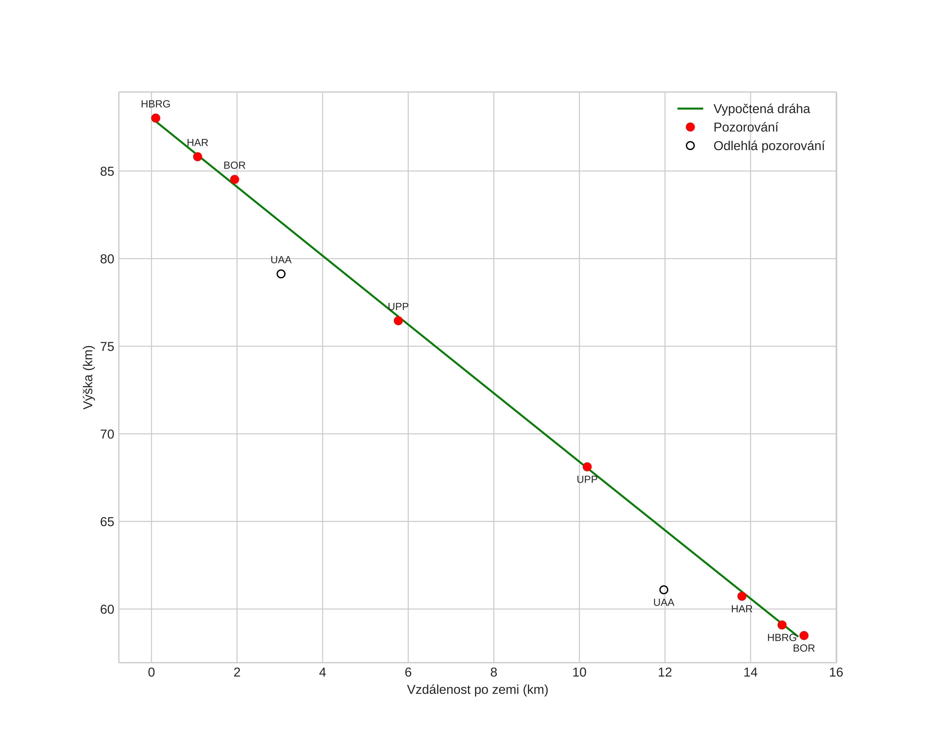
height profile
Atmosférická dráha meteoru:
Počáteční výška: 88,0 km
Konečná výška: 58,4 km
Počáteční poloha: 60,686N 14,289E
Konečná poloha: 60,821N 14,255E
Směr: 353,0°
Sklon: 62,9°
Vstupní rychlost: 35,1 km/s
Rektascenze radiantu: 07:35 (113,8°)
Deklinace radiantu: 32,9°
Meteorický roj: Geminidy
Elementy dráhy meteoroidu:
Vzdálenost v periheliu: 0,154 AU
Excentricita: 0,879
Sklon dráhy: 23,3°
Délka vzestupného uzlu: 262,2°
Argument perihelia: 323,4°
Střední anomálie: 333,6°
Epocha: 2016 DEC 14 00:52:59
orbit plot

Neinteraktivní graf | Interaktivní graf

position vs time
speed and acceleration