🇳🇴 🇬🇧 🇩🇪 🇨🇿 🇫🇮

Meteor, poloha: Torsby 2016-12-14 01:08:26 UTC

Soubor KML  |  InteraktivnĂ­ mapa

Mapa zobrazuje dráhy meteoru. Světlejší čáry ukazují směry od pozorovacích stanic při objevení se meteoru a tmavší čáry, kde byl naposledy viděn. Modrá šipka značí viditelnou dráhu meteoru.

static map
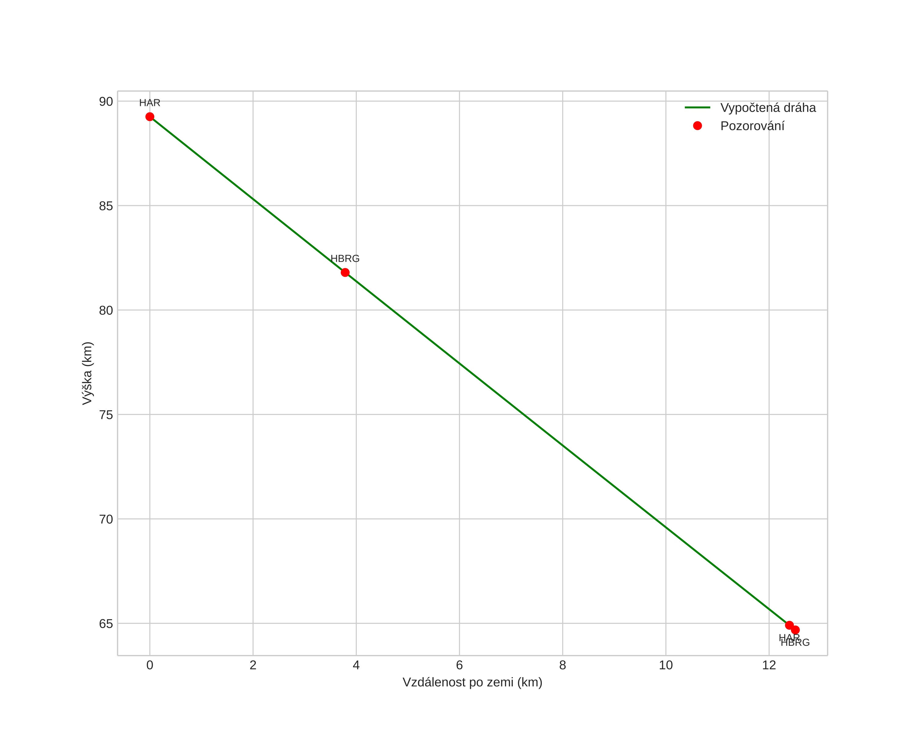
height profile
Atmosférická dráha meteoru:
Počáteční výška: 89,3 km
Konečná výška: 64,7 km
Počáteční poloha: 60,605N 13,086E
Konečná poloha: 60,718N 13,082E
Směr: 359,1°
Sklon: 63,0°
VstupnĂ­ rychlost: 34,5 km/s
Rektascenze radiantu: 07:32 (113,0°)
Deklinace radiantu: 32,8°
MeteorickĂ˝ roj: Geminidy
Elementy dráhy meteoroidu:
Vzdálenost v periheliu: 0,163 AU
Excentricita: 0,872
Sklon dráhy: 21,8°
Délka vzestupného uzlu: 262,2°
Argument perihelia: 322,4°
Střední anomálie: 333,1°
Epocha: 2016 DEC 14 01:08:26
orbit plot

NeinteraktivnĂ­ graf | InteraktivnĂ­ graf

position vs time
speed and acceleration