🇳🇴 🇬🇧 🇩🇪 🇨🇿 🇫🇮

Meteor, poloha: Hagfors 2016-12-14 01:36:46 UTC

Soubor KML  |  InteraktivnĂ­ mapa

Mapa zobrazuje dráhy meteoru. Světlejší čáry ukazují směry od pozorovacích stanic při objevení se meteoru a tmavší čáry, kde byl naposledy viděn. Modrá šipka značí viditelnou dráhu meteoru.

static map
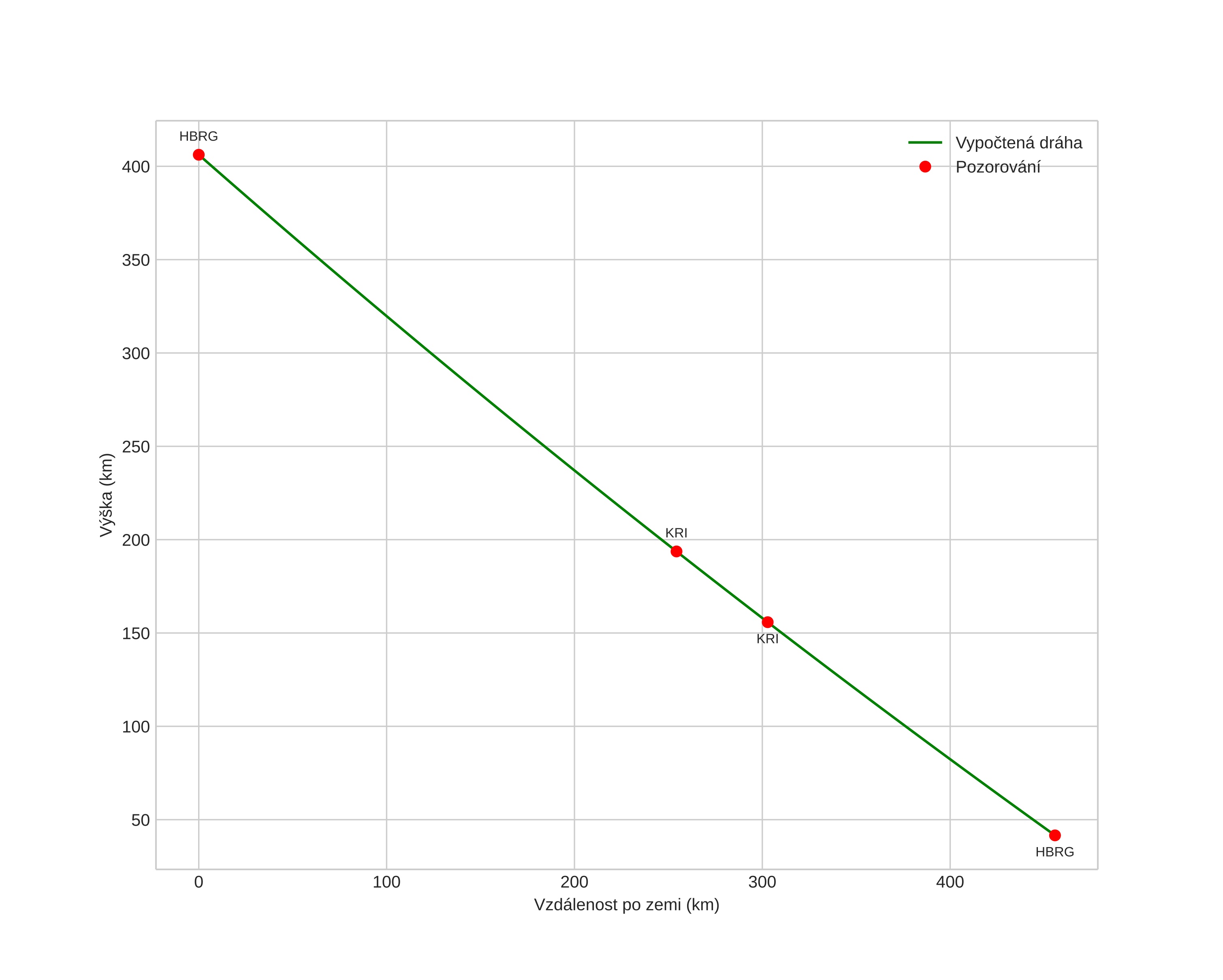
height profile
Atmosférická dráha meteoru:
Počáteční výška: 406,2 km
Konečná výška: 41,6 km
Počáteční poloha: 56,904N 8,907E
Konečná poloha: 60,052N 13,936E
Směr: 37,7°
Sklon: 38,7°
VstupnĂ­ rychlost: 70,0 km/s
Rektascenze radiantu: 05:46 (86,6°)
Deklinace radiantu: 10,3°
MeteorickĂ˝ roj: sporadickĂ˝
Elementy dráhy meteoroidu:
Vzdálenost v periheliu: 0,299 AU
Excentricita: 2,223
Sklon dráhy: 31,9°
Délka vzestupného uzlu: 82,3°
Argument perihelia: 90,6°
Střední anomálie: -175,1°
Epocha: 2016 DEC 14 01:36:46
orbit plot

NeinteraktivnĂ­ graf | InteraktivnĂ­ graf

position vs time
speed and acceleration