🇳🇴 🇬🇧 🇩🇪 🇨🇿 🇫🇮

Meteor, poloha: Treungen 2016-12-14 01:45:39 UTC

Soubor KML  |  InteraktivnĂ­ mapa

Mapa zobrazuje dráhy meteoru. Světlejší čáry ukazují směry od pozorovacích stanic při objevení se meteoru a tmavší čáry, kde byl naposledy viděn. Modrá šipka značí viditelnou dráhu meteoru.

static map
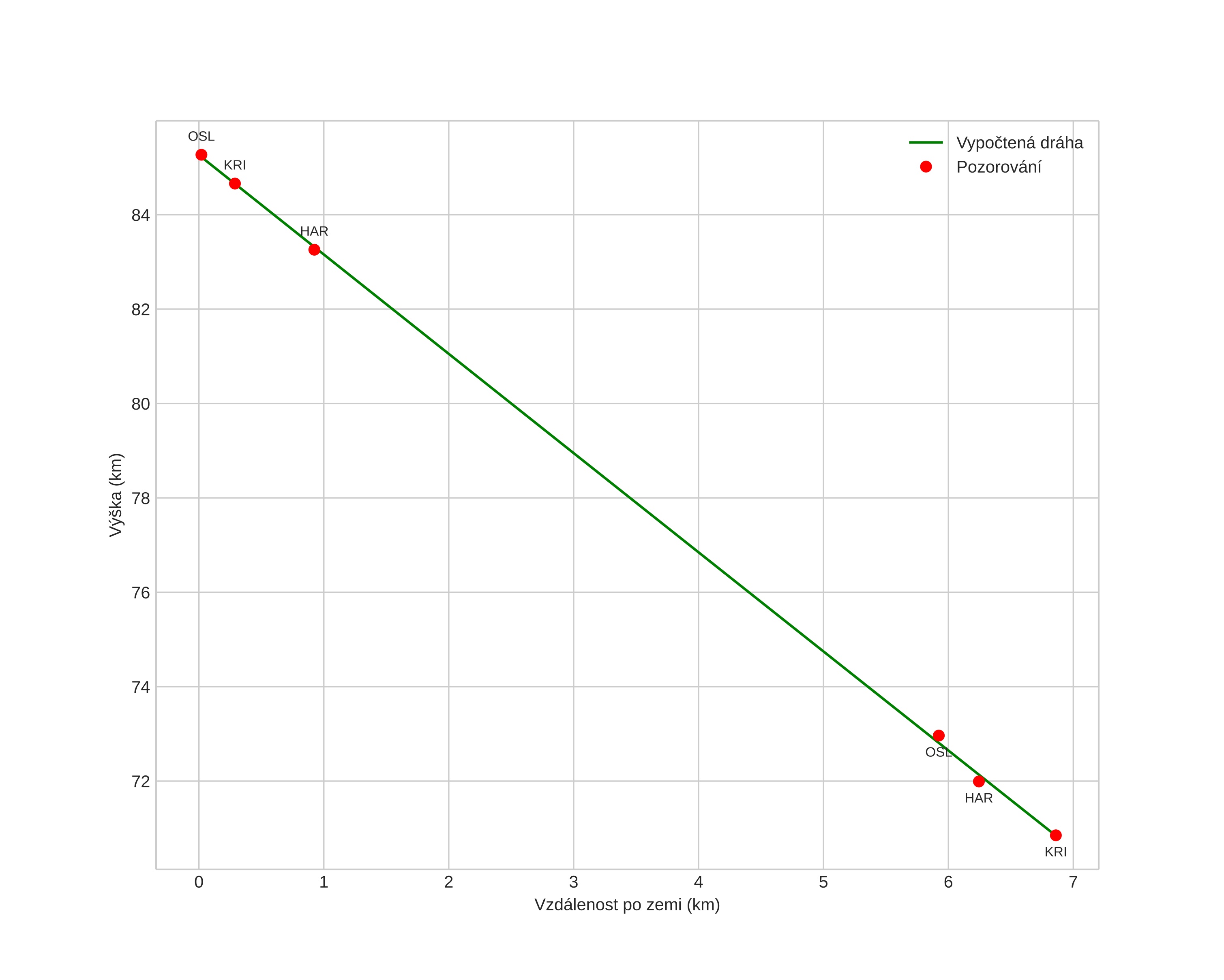
height profile
Atmosférická dráha meteoru:
Počáteční výška: 85,3 km
Konečná výška: 70,8 km
Počáteční poloha: 58,829N 8,535E
Konečná poloha: 58,890N 8,548E
Směr: 6,2°
Sklon: 64,7°
VstupnĂ­ rychlost: 37,0 km/s
Rektascenze radiantu: 07:36 (114,1°)
Deklinace radiantu: 32,9°
MeteorickĂ˝ roj: Geminidy
Elementy dráhy meteoroidu:
Vzdálenost v periheliu: 0,137 AU
Excentricita: 0,904
Sklon dráhy: 26,2°
Délka vzestupného uzlu: 262,3°
Argument perihelia: 324,3°
Střední anomálie: 338,8°
Epocha: 2016 DEC 14 01:45:39
orbit plot

NeinteraktivnĂ­ graf | InteraktivnĂ­ graf

position vs time
speed and acceleration