🇳🇴 🇬🇧 🇩🇪 🇨🇿 🇫🇮

Meteor, poloha: Innbygda 2016-12-14 02:00:44 UTC

Soubor KML  |  InteraktivnĂ­ mapa

Mapa zobrazuje dráhy meteoru. Světlejší čáry ukazují směry od pozorovacích stanic při objevení se meteoru a tmavší čáry, kde byl naposledy viděn. Modrá šipka značí viditelnou dráhu meteoru.

static map
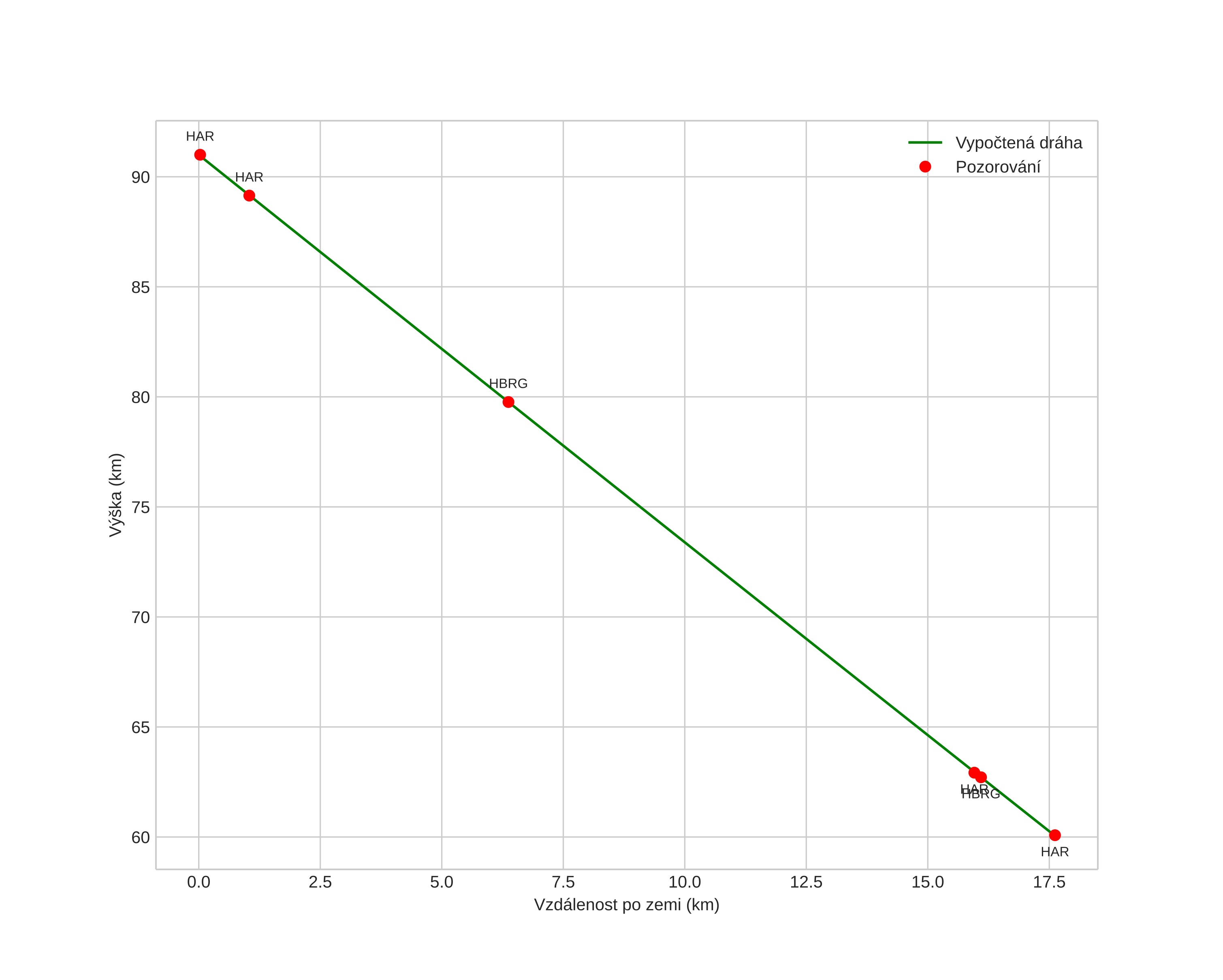
height profile
Atmosférická dráha meteoru:
Počáteční výška: 91,0 km
Konečná výška: 60,1 km
Počáteční poloha: 61,135N 12,397E
Konečná poloha: 61,284N 12,509E
Směr: 20,0°
Sklon: 60,3°
VstupnĂ­ rychlost: 34,7 km/s
Rektascenze radiantu: 07:32 (113,2°)
Deklinace radiantu: 31,5°
MeteorickĂ˝ roj: Geminidy
Elementy dráhy meteoroidu:
Vzdálenost v periheliu: 0,151 AU
Excentricita: 0,880
Sklon dráhy: 20,1°
Délka vzestupného uzlu: 262,3°
Argument perihelia: 323,9°
Střední anomálie: 333,2°
Epocha: 2016 DEC 14 02:00:44
orbit plot

NeinteraktivnĂ­ graf | InteraktivnĂ­ graf

position vs time
speed and acceleration