🇳🇴 🇬🇧 🇩🇪 🇨🇿 🇫🇮

Meteor, poloha: Engerdal 2016-12-14 02:04:16 UTC

Soubor KML  |  InteraktivnĂ­ mapa

Mapa zobrazuje dráhy meteoru. Světlejší čáry ukazují směry od pozorovacích stanic při objevení se meteoru a tmavší čáry, kde byl naposledy viděn. Modrá šipka značí viditelnou dráhu meteoru.

static map
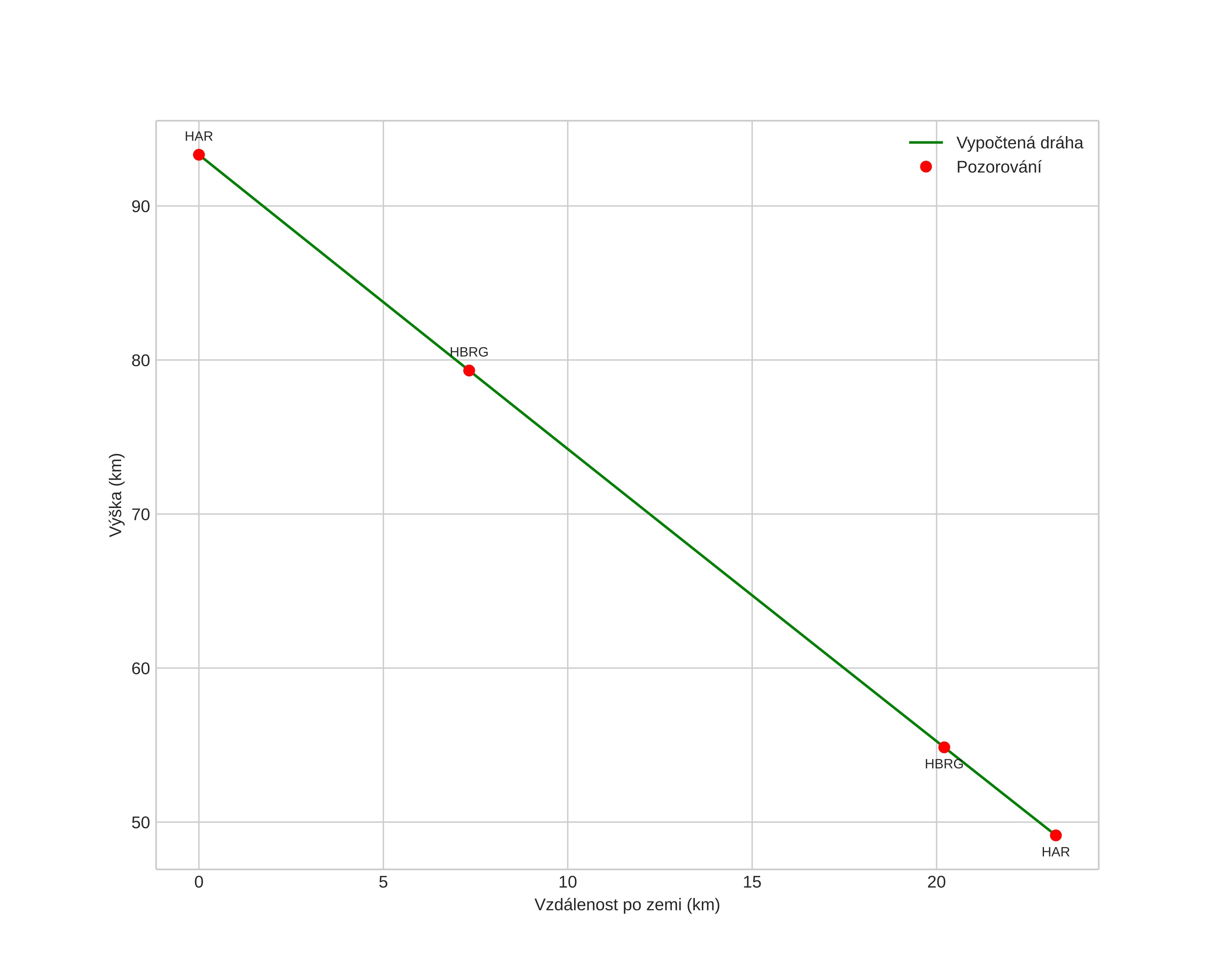
height profile
Atmosférická dráha meteoru:
Počáteční výška: 93,3 km
Konečná výška: 49,1 km
Počáteční poloha: 61,495N 11,392E
Konečná poloha: 61,693N 11,535E
Směr: 18,9°
Sklon: 62,3°
VstupnĂ­ rychlost: 35,8 km/s
Rektascenze radiantu: 07:36 (114,2°)
Deklinace radiantu: 33,8°
MeteorickĂ˝ roj: Geminidy
Elementy dráhy meteoroidu:
Vzdálenost v periheliu: 0,152 AU
Excentricita: 0,886
Sklon dráhy: 26,0°
Délka vzestupného uzlu: 262,3°
Argument perihelia: 323,2°
Střední anomálie: 335,6°
Epocha: 2016 DEC 14 02:04:16
orbit plot

NeinteraktivnĂ­ graf | InteraktivnĂ­ graf

position vs time
speed and acceleration