🇳🇴 🇬🇧 🇩🇪 🇨🇿 🇫🇮

Meteor Leirsundin yllä 2016-12-14 02:29:46 UTC

KML-tiedosto  |  Interaktiivinen kartta

Kartta näyttää meteorin suuntahavainnot. Vaaleammat viivat näyttävät suunnat havaintoasemilta meteorin ilmestyessä, ja tummemmat viivat näyttävät, missä se viimeksi nähtiin. Sininen nuoli näyttää meteorin näkyvän lennon.

static map
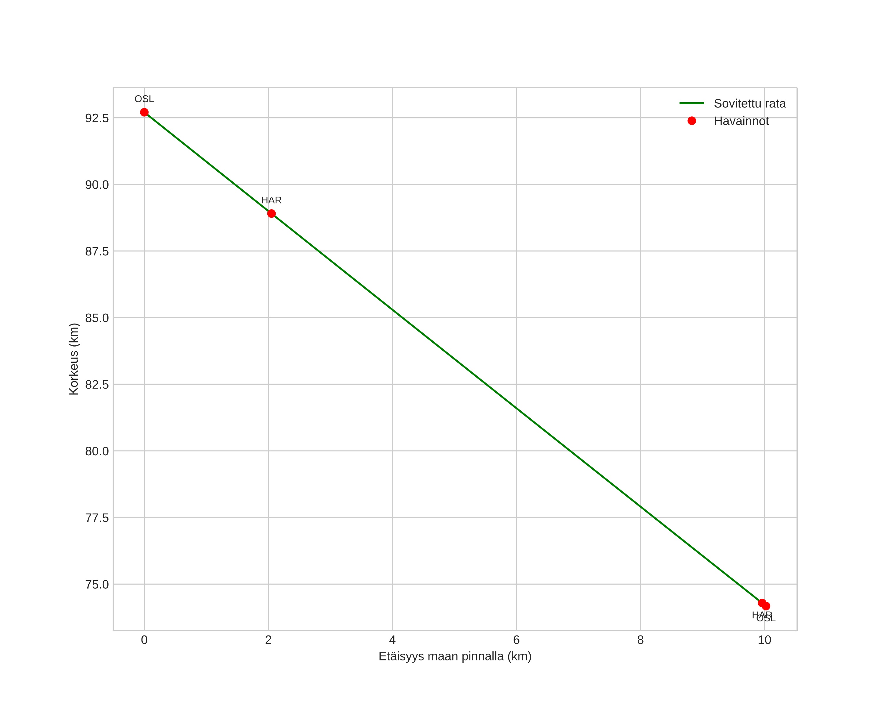
height profile
Meteorin ilmakehärata:
Alkukorkeus: 92,7 km
Loppukorkeus: 74,2 km
Alkupiste: 59,924N 10,980E
Loppupiste: 60,003N 11,069E
Suunta: 29,5°
Kallistuskulma: 61,6°
Tulonopeus: 36,8 km/s
Radiantin R,A,: 07:37 (114,3°)
Radiantin Dekl,: 32,8°
Meteoriparvi: Geminidit
Meteoroidin rataelementit:
Perihelietäisyys: 0,137 AU
Eksentrisyys: 0,902
Inklinaatio: 25,9°
Nousevan solmun pituus: 262,3°
Perihelin argumentti: 324,6°
Keskianomalia: 338,0°
Epookki: 2016 DEC 14 02:29:46
orbit plot

Ei-interaktiivinen kuvaaja | Interaktiivinen kuvaaja

position vs time
speed and acceleration