🇳🇴 🇬🇧 🇩🇪 🇨🇿 🇫🇮

Meteor over Ã…gotnes 2016-12-14 02:50:44 UTC

KML-fil  |  Interaktivt kart

Kartet viser peilingene for meteoren. De lysere linjene viser retningene fra observasjonsstedene for meteorens tilsynekomst, og de mørkere linjene viser hvor den sist kunne sees. Den blå pila viser meteorens synlige ferd.

static map
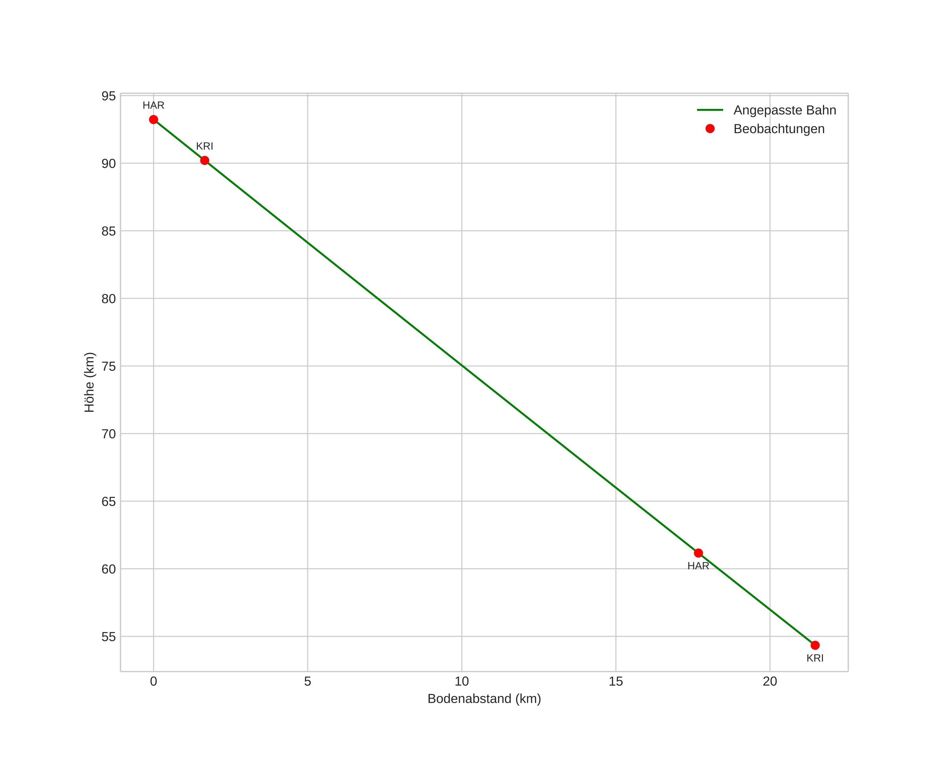
height profile
Meteorens atmosfæriske bane:
Starthøgde: 93,2 km
Slutthøgde: 54,3 km
Startposisjon: 59,992N 4,716E
Sluttposisjon: 60,166N 4,886E
Retning: 26,0°
Fallvinkel: 61,1°
Inngangshastighet: 35,1 km/s
Radiantens rektascensjon: 07:40 (115,1°)
Radiantens deklinasjon: 31,9°
Meteorsverm: Geminidene
Meteoroidens baneelement:
Perihelavstand: 0,138 AU
Eksentrisitet: 0,887
Inklinasjon: 22,7°
Knutelengde: 262,3°
Perihelargument: 326,1°
Midlere anomali: 332,0°
Epoke: 2016 DEC 14 02:50:44
orbit plot

Ikke-interaktivt plott | Interaktivt plott

position vs time
speed and acceleration

Harestua (HAR) cam1


gnomonic
Videoer
• Gnomonisk
• Gnomonisk med koordinater
• Original
• Original med koordinater
Bilder
• Gnomonisk
• Gnomonisk med koordinater
• Ukorrigert gnomonisk med koordinater
• Gnomonisk med annotering
• Ukorrigert gnomonisk med annotering
• Original
• Original med koordinater
• Original med maske
Tekstfiler
• Deteksjon
• Observasjon
• Koordinater
• Feilmeldinger
• Logg
Lysstyrke

Kristiansand (KRI) cam4


gnomonic
Videoer
• Gnomonisk
• Gnomonisk med koordinater
• Original
• Original med koordinater
Bilder
• Gnomonisk
• Gnomonisk med koordinater
• Ukorrigert gnomonisk med koordinater
• Gnomonisk med annotering
• Ukorrigert gnomonisk med annotering
• Original
• Original med koordinater
• Original med maske
Tekstfiler
• Deteksjon
• Observasjon
• Koordinater
• Feilmeldinger
• Logg
Lysstyrke