🇳🇴 🇬🇧 🇩🇪 🇨🇿 🇫🇮

Meteor, poloha: Ă…gotnes 2016-12-14 02:50:44 UTC

Soubor KML  |  InteraktivnĂ­ mapa

Mapa zobrazuje dráhy meteoru. Světlejší čáry ukazují směry od pozorovacích stanic při objevení se meteoru a tmavší čáry, kde byl naposledy viděn. Modrá šipka značí viditelnou dráhu meteoru.

static map
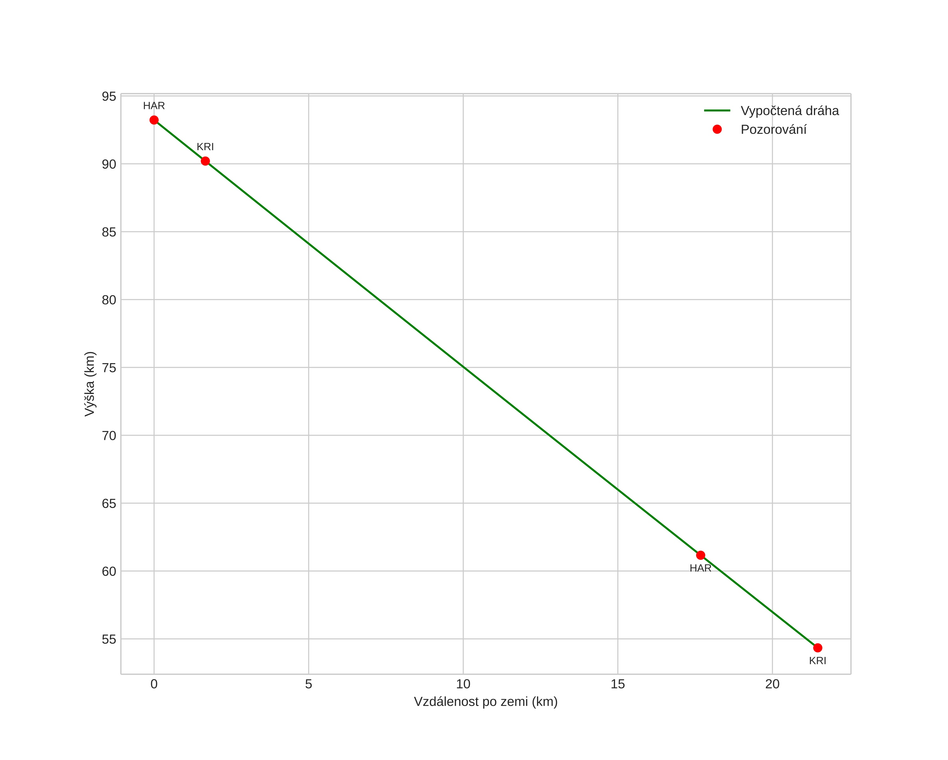
height profile
Atmosférická dráha meteoru:
Počáteční výška: 93,2 km
Konečná výška: 54,3 km
Počáteční poloha: 59,992N 4,716E
Konečná poloha: 60,166N 4,886E
Směr: 26,0°
Sklon: 61,1°
VstupnĂ­ rychlost: 35,1 km/s
Rektascenze radiantu: 07:40 (115,1°)
Deklinace radiantu: 31,9°
MeteorickĂ˝ roj: Geminidy
Elementy dráhy meteoroidu:
Vzdálenost v periheliu: 0,138 AU
Excentricita: 0,887
Sklon dráhy: 22,7°
Délka vzestupného uzlu: 262,3°
Argument perihelia: 326,1°
Střední anomálie: 332,0°
Epocha: 2016 DEC 14 02:50:44
orbit plot

NeinteraktivnĂ­ graf | InteraktivnĂ­ graf

position vs time
speed and acceleration