🇳🇴 🇬🇧 🇩🇪 🇨🇿 🇫🇮

Meteor, poloha: Arendal 2016-12-14 03:10:07 UTC

Soubor KML  |  InteraktivnĂ­ mapa

Mapa zobrazuje dráhy meteoru. Světlejší čáry ukazují směry od pozorovacích stanic při objevení se meteoru a tmavší čáry, kde byl naposledy viděn. Modrá šipka značí viditelnou dráhu meteoru.

static map
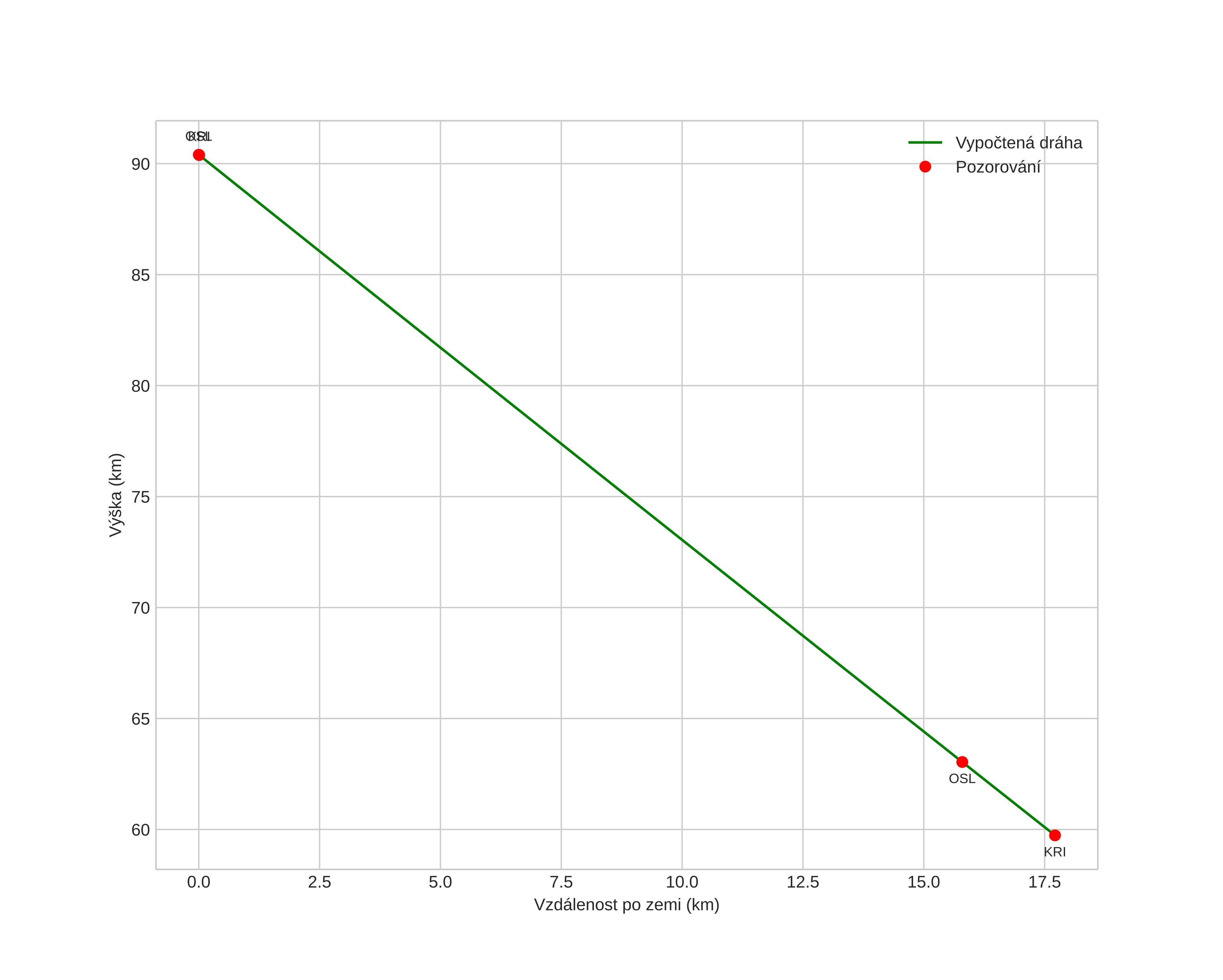
height profile
Atmosférická dráha meteoru:
Počáteční výška: 90,4 km
Konečná výška: 59,7 km
Počáteční poloha: 58,101N 8,793E
Konečná poloha: 58,216N 9,003E
Směr: 44,1°
Sklon: 60,0°
VstupnĂ­ rychlost: 37,7 km/s
Rektascenze radiantu: 07:35 (114,0°)
Deklinace radiantu: 32,3°
MeteorickĂ˝ roj: Geminidy
Elementy dráhy meteoroidu:
Vzdálenost v periheliu: 0,129 AU
Excentricita: 0,915
Sklon dráhy: 26,0°
Délka vzestupného uzlu: 262,3°
Argument perihelia: 325,0°
Střední anomálie: 340,9°
Epocha: 2016 DEC 14 03:10:07
orbit plot

NeinteraktivnĂ­ graf | InteraktivnĂ­ graf

position vs time
speed and acceleration