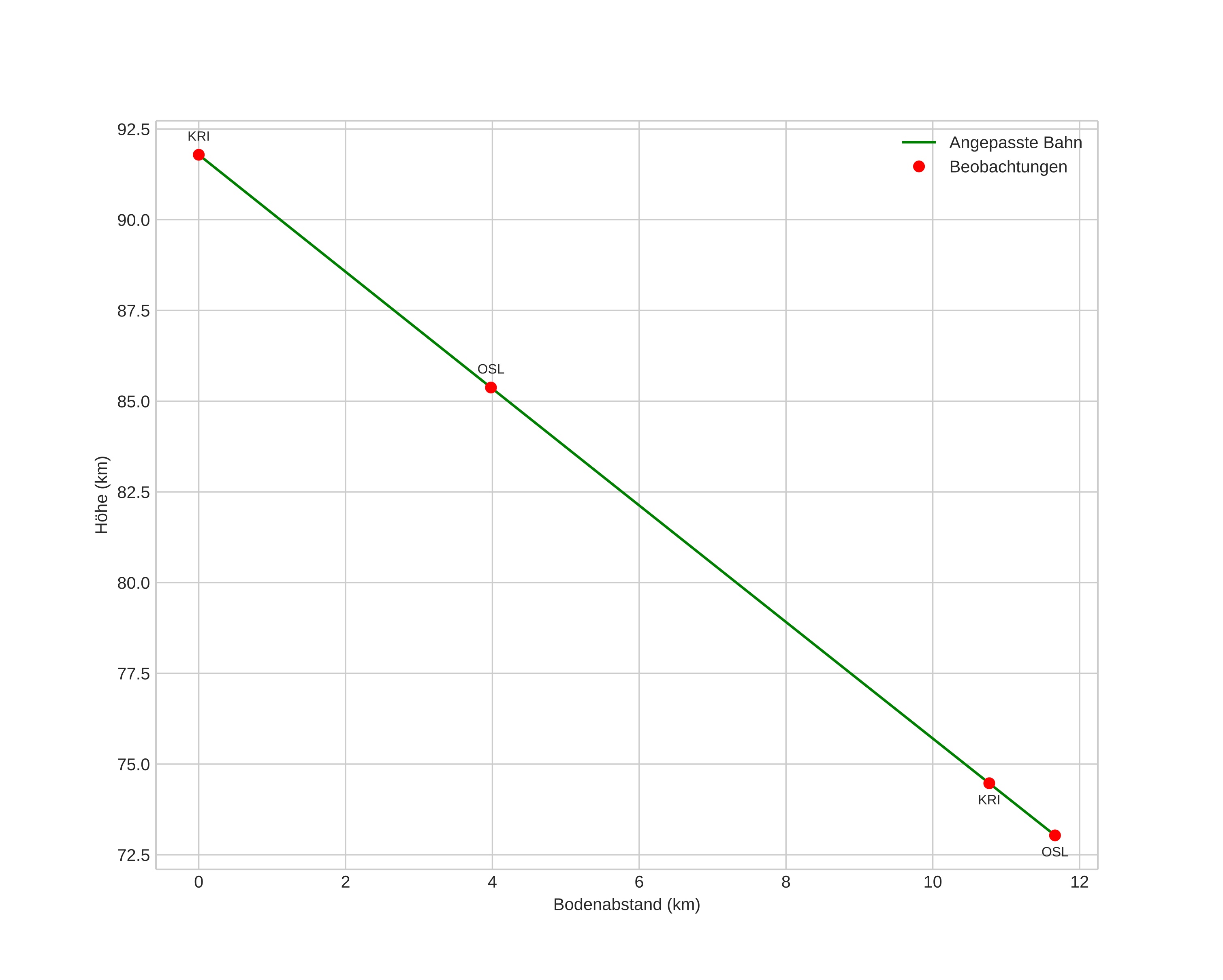
Atmosférická dráha meteoru:
| Počátečnà výška: | 91,8 km |
| Konečná výška: | 73,0 km |
| Počátečnà poloha: | 58,146N 8,089E |
| Konečná poloha: | 58,220N 8,231E |
| Směr: | 45,2° |
| Sklon: | 58,2° |
| VstupnĂ rychlost: | 34,7 km/s |
| Rektascenze radiantu: | 07:33 (113,4°) |
| Deklinace radiantu: | 30,7° |
| MeteorickĂ˝ roj: | Geminidy |
|
Elementy dráhy meteoroidu:
| Vzdálenost v periheliu: | 0,146 AU |
| Excentricita: | 0,882 |
| Sklon dráhy: | 18,7° |
| Délka vzestupného uzlu: | 262,3° |
| Argument perihelia: | 324,7° |
| Střednà anomálie: | 332,8° |
| Epocha: | 2016 DEC 14 03:17:11 |
|