🇳🇴 🇬🇧 🇩🇪 🇨🇿 🇫🇮

Meteor, poloha: Tveit 2016-12-14 03:17:11 UTC

Soubor KML  |  InteraktivnĂ­ mapa

Mapa zobrazuje dráhy meteoru. Světlejší čáry ukazují směry od pozorovacích stanic při objevení se meteoru a tmavší čáry, kde byl naposledy viděn. Modrá šipka značí viditelnou dráhu meteoru.

static map
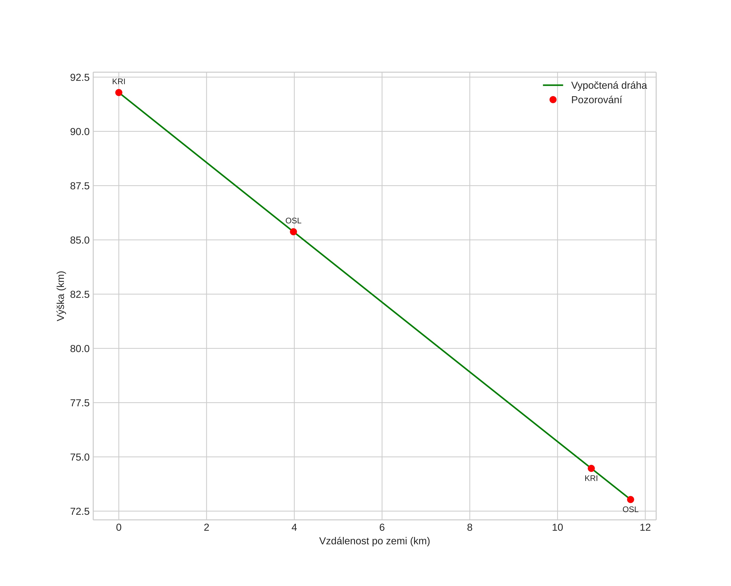
height profile
Atmosférická dráha meteoru:
Počáteční výška: 91,8 km
Konečná výška: 73,0 km
Počáteční poloha: 58,146N 8,089E
Konečná poloha: 58,220N 8,231E
Směr: 45,2°
Sklon: 58,2°
VstupnĂ­ rychlost: 34,7 km/s
Rektascenze radiantu: 07:33 (113,4°)
Deklinace radiantu: 30,7°
MeteorickĂ˝ roj: Geminidy
Elementy dráhy meteoroidu:
Vzdálenost v periheliu: 0,146 AU
Excentricita: 0,882
Sklon dráhy: 18,7°
Délka vzestupného uzlu: 262,3°
Argument perihelia: 324,7°
Střední anomálie: 332,8°
Epocha: 2016 DEC 14 03:17:11
orbit plot

NeinteraktivnĂ­ graf | InteraktivnĂ­ graf

position vs time
speed and acceleration