🇳🇴 🇬🇧 🇩🇪 🇨🇿 🇫🇮

Meteor, poloha: Gram 2016-12-14 03:17:12 UTC

Soubor KML  |  InteraktivnĂ­ mapa

Mapa zobrazuje dráhy meteoru. Světlejší čáry ukazují směry od pozorovacích stanic při objevení se meteoru a tmavší čáry, kde byl naposledy viděn. Modrá šipka značí viditelnou dráhu meteoru.

static map
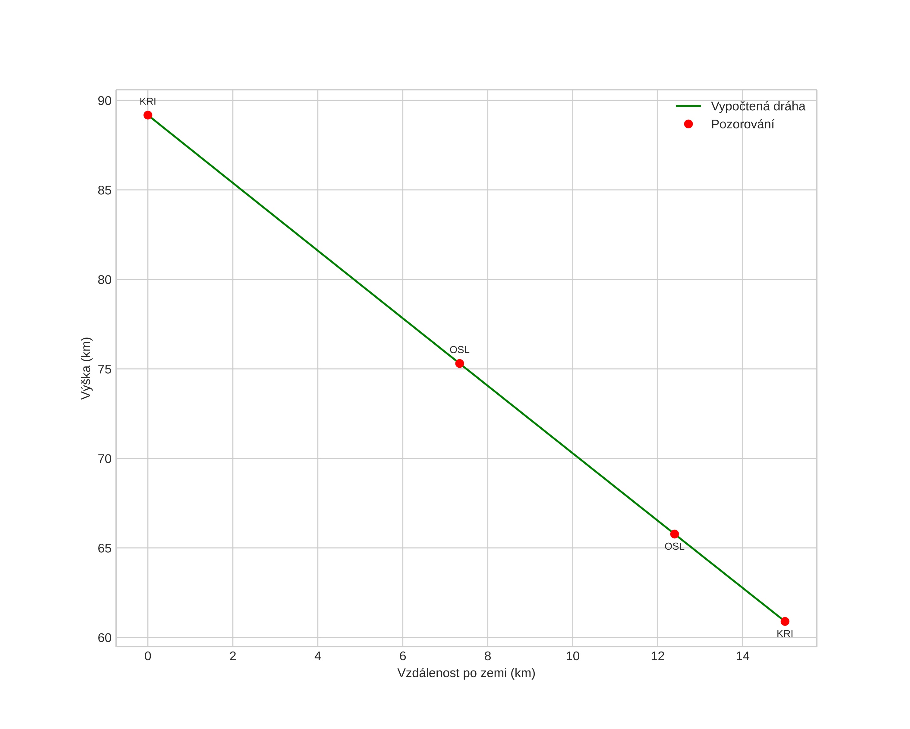
height profile
Atmosférická dráha meteoru:
Počáteční výška: 89,2 km
Konečná výška: 60,9 km
Počáteční poloha: 55,230N 8,831E
Konečná poloha: 55,312N 9,020E
Směr: 52,6°
Sklon: 62,1°
VstupnĂ­ rychlost: 34,3 km/s
Rektascenze radiantu: 07:33 (113,3°)
Deklinace radiantu: 33,4°
MeteorickĂ˝ roj: Geminidy
Elementy dráhy meteoroidu:
Vzdálenost v periheliu: 0,167 AU
Excentricita: 0,867
Sklon dráhy: 22,8°
Délka vzestupného uzlu: 262,3°
Argument perihelia: 322,0°
Střední anomálie: 332,7°
Epocha: 2016 DEC 14 03:17:12
orbit plot

NeinteraktivnĂ­ graf | InteraktivnĂ­ graf

position vs time
speed and acceleration