🇳🇴 🇬🇧 🇩🇪 🇨🇿 🇫🇮

Meteor, poloha: Byrum 2016-12-14 03:20:40 UTC

Soubor KML  |  InteraktivnĂ­ mapa

Mapa zobrazuje dráhy meteoru. Světlejší čáry ukazují směry od pozorovacích stanic při objevení se meteoru a tmavší čáry, kde byl naposledy viděn. Modrá šipka značí viditelnou dráhu meteoru.

static map
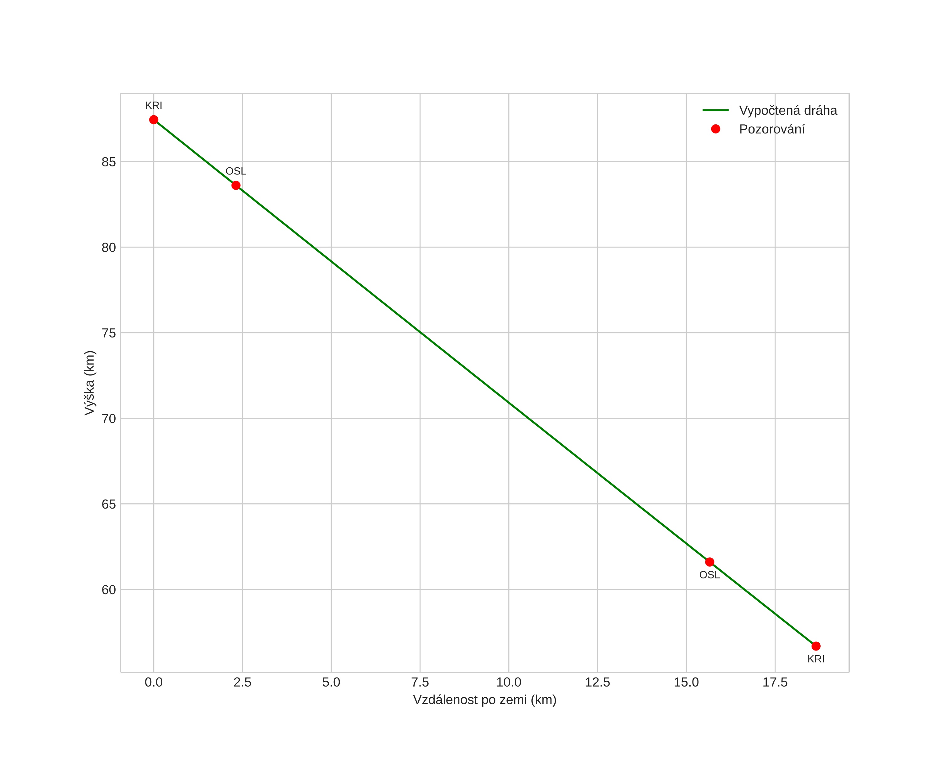
height profile
Atmosférická dráha meteoru:
Počáteční výška: 87,4 km
Konečná výška: 56,7 km
Počáteční poloha: 57,046N 10,497E
Konečná poloha: 57,151N 10,738E
Směr: 51,2°
Sklon: 58,7°
VstupnĂ­ rychlost: 35,5 km/s
Rektascenze radiantu: 07:35 (114,0°)
Deklinace radiantu: 31,8°
MeteorickĂ˝ roj: Geminidy
Elementy dráhy meteoroidu:
Vzdálenost v periheliu: 0,141 AU
Excentricita: 0,891
Sklon dráhy: 22,2°
Délka vzestupného uzlu: 262,3°
Argument perihelia: 324,9°
Střední anomálie: 334,8°
Epocha: 2016 DEC 14 03:20:40
orbit plot

NeinteraktivnĂ­ graf | InteraktivnĂ­ graf

position vs time
speed and acceleration