🇳🇴 🇬🇧 🇩🇪 🇨🇿 🇫🇮

Meteor, poloha: Hvittingfoss 2016-12-14 03:48:20 UTC

Soubor KML  |  InteraktivnĂ­ mapa

Mapa zobrazuje dráhy meteoru. Světlejší čáry ukazují směry od pozorovacích stanic při objevení se meteoru a tmavší čáry, kde byl naposledy viděn. Modrá šipka značí viditelnou dráhu meteoru.

static map
height profile
Atmosférická dráha meteoru:
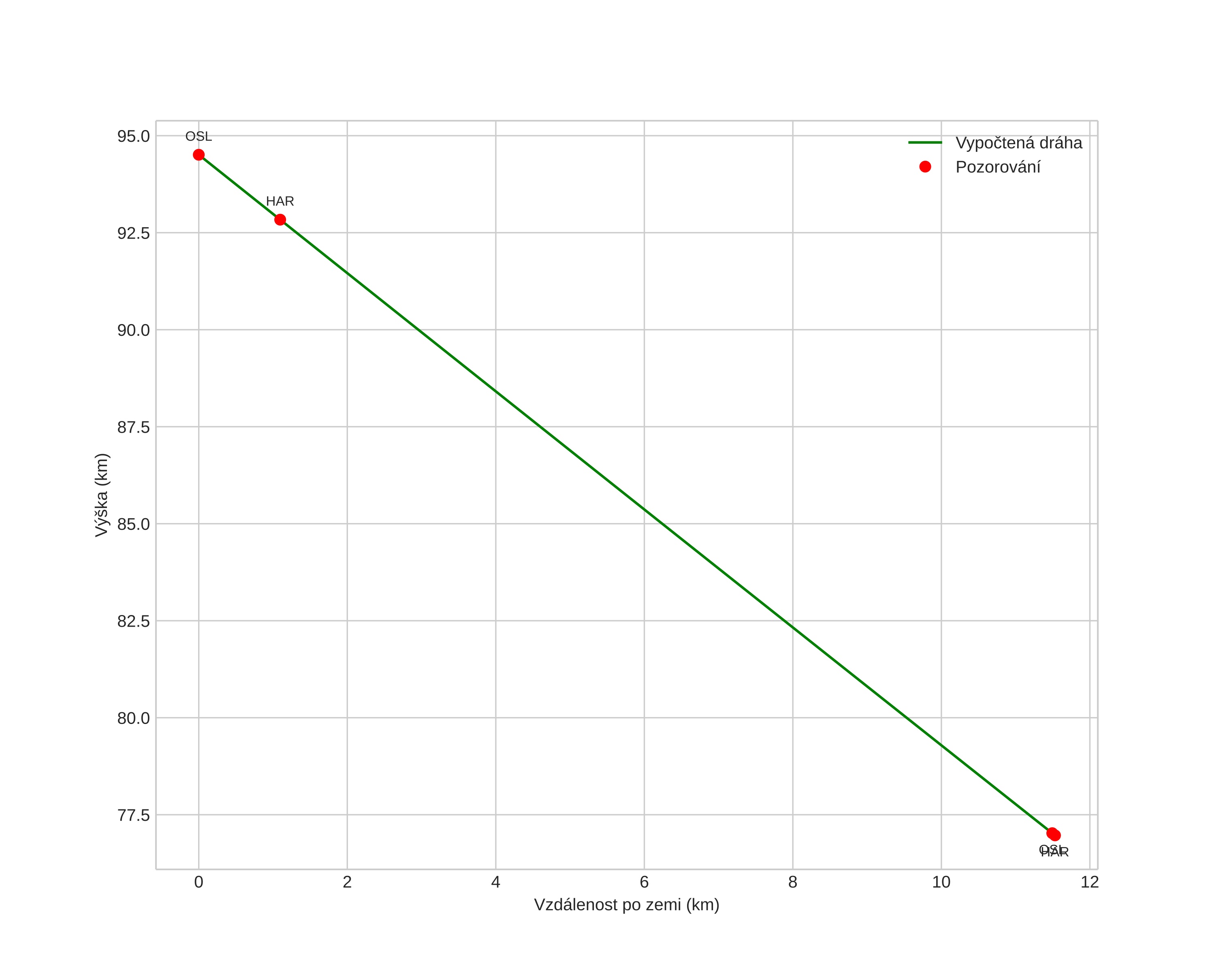
Počáteční výška: 94,5 km
Konečná výška: 77,0 km
Počáteční poloha: 59,379N 9,660E
Konečná poloha: 59,427N 9,841E
Směr: 62,3°
Sklon: 56,6°
VstupnĂ­ rychlost: 30,1 km/s
Rektascenze radiantu: 07:25 (111,4°)
Deklinace radiantu: 34,8°
MeteorickĂ˝ roj: Geminidy
Elementy dráhy meteoroidu:
Vzdálenost v periheliu: 0,230 AU
Excentricita: 0,791
Sklon dráhy: 18,4°
Délka vzestupného uzlu: 262,3°
Argument perihelia: 317,3°
Střední anomálie: 322,6°
Epocha: 2016 DEC 14 03:48:20
orbit plot

NeinteraktivnĂ­ graf | InteraktivnĂ­ graf

position vs time
speed and acceleration