🇳🇴 🇬🇧 🇩🇪 🇨🇿 🇫🇮

Meteor, poloha: Egersund 2016-12-14 03:49:03 UTC

Soubor KML  |  InteraktivnĂ­ mapa

Mapa zobrazuje dráhy meteoru. Světlejší čáry ukazují směry od pozorovacích stanic při objevení se meteoru a tmavší čáry, kde byl naposledy viděn. Modrá šipka značí viditelnou dráhu meteoru.

static map
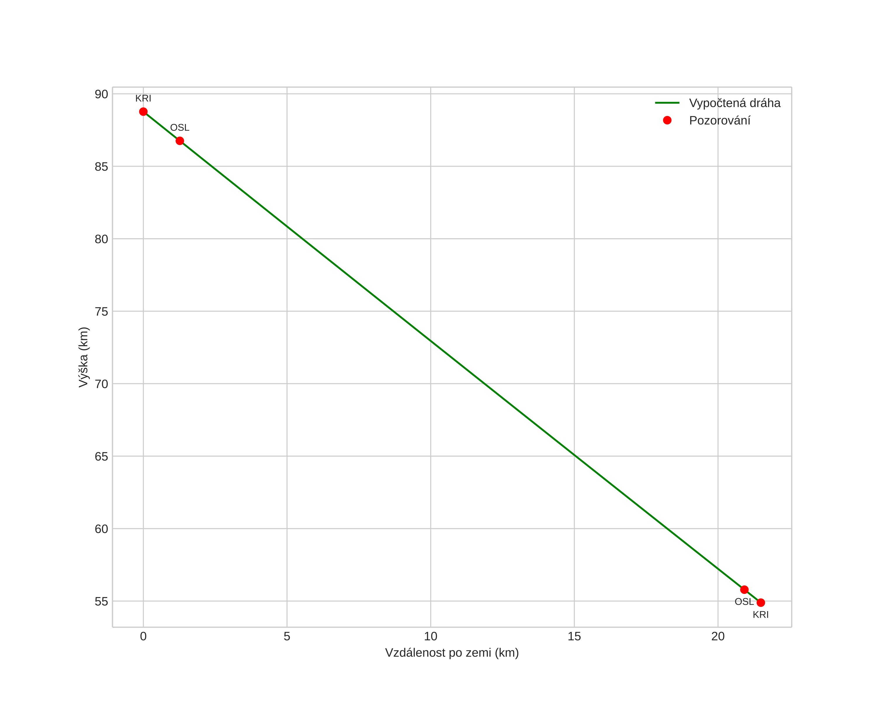
height profile
Atmosférická dráha meteoru:
Počáteční výška: 88,8 km
Konečná výška: 54,9 km
Počáteční poloha: 58,341N 5,750E
Konečná poloha: 58,457N 6,045E
Směr: 53,0°
Sklon: 57,6°
VstupnĂ­ rychlost: 35,1 km/s
Rektascenze radiantu: 07:37 (114,3°)
Deklinace radiantu: 32,4°
MeteorickĂ˝ roj: Geminidy
Elementy dráhy meteoroidu:
Vzdálenost v periheliu: 0,147 AU
Excentricita: 0,883
Sklon dráhy: 22,9°
Délka vzestupného uzlu: 262,3°
Argument perihelia: 324,4°
Střední anomálie: 333,4°
Epocha: 2016 DEC 14 03:49:03
orbit plot

NeinteraktivnĂ­ graf | InteraktivnĂ­ graf

position vs time
speed and acceleration