🇳🇴 🇬🇧 🇩🇪 🇨🇿 🇫🇮

Meteor, poloha: Skagen 2016-12-14 03:57:58 UTC

Soubor KML  |  InteraktivnĂ­ mapa

Mapa zobrazuje dráhy meteoru. Světlejší čáry ukazují směry od pozorovacích stanic při objevení se meteoru a tmavší čáry, kde byl naposledy viděn. Modrá šipka značí viditelnou dráhu meteoru.

static map
height profile
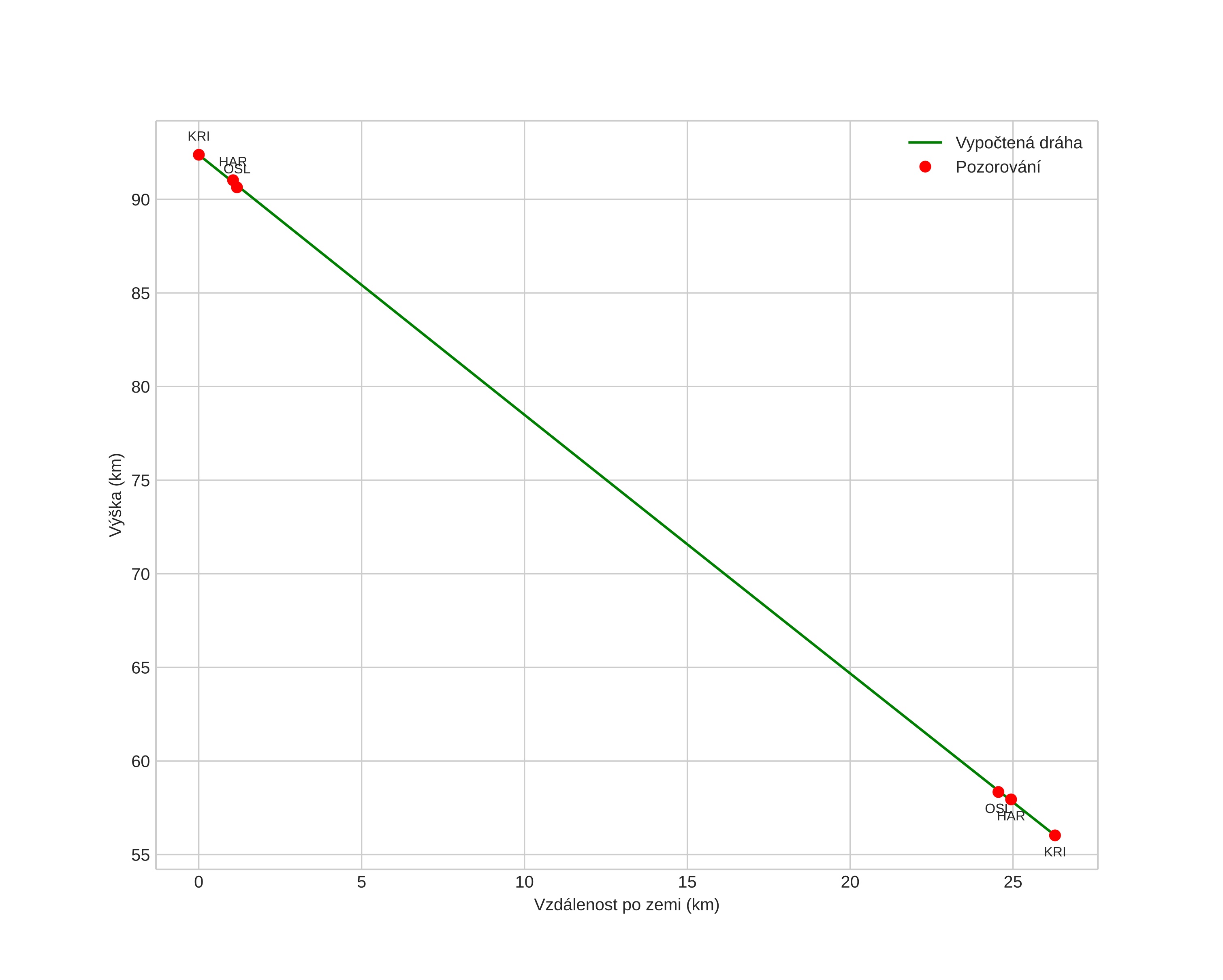
Atmosférická dráha meteoru:
Počáteční výška: 92,4 km
Konečná výška: 56,0 km
Počáteční poloha: 58,051N 10,227E
Konečná poloha: 58,163N 10,622E
Směr: 61,7°
Sklon: 54,2°
VstupnĂ­ rychlost: 34,6 km/s
Rektascenze radiantu: 07:35 (113,9°)
Deklinace radiantu: 31,7°
MeteorickĂ˝ roj: Geminidy
Elementy dráhy meteoroidu:
Vzdálenost v periheliu: 0,149 AU
Excentricita: 0,879
Sklon dráhy: 20,8°
Délka vzestupného uzlu: 262,4°
Argument perihelia: 324,5°
Střední anomálie: 332,4°
Epocha: 2016 DEC 14 03:57:58
orbit plot

NeinteraktivnĂ­ graf | InteraktivnĂ­ graf

position vs time
speed and acceleration