🇳🇴 🇬🇧 🇩🇪 🇨🇿 🇫🇮

Meteor, poloha: Liknes 2016-12-14 04:10:02 UTC

Soubor KML  |  InteraktivnĂ­ mapa

Mapa zobrazuje dráhy meteoru. Světlejší čáry ukazují směry od pozorovacích stanic při objevení se meteoru a tmavší čáry, kde byl naposledy viděn. Modrá šipka značí viditelnou dráhu meteoru.

static map
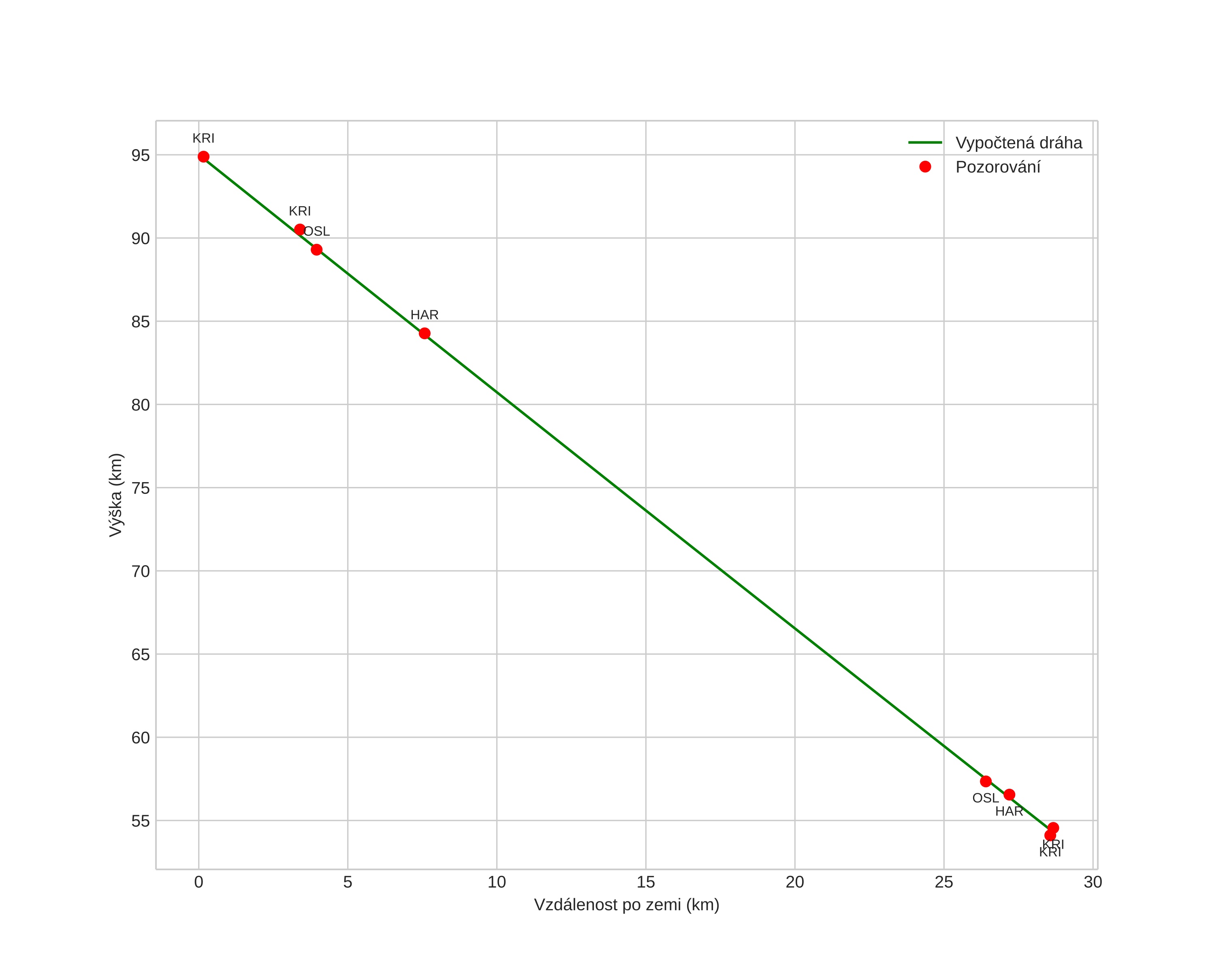
height profile
Atmosférická dráha meteoru:
Počáteční výška: 95,0 km
Konečná výška: 54,2 km
Počáteční poloha: 58,373N 6,589E
Konečná poloha: 58,497N 7,022E
Směr: 61,1°
Sklon: 54,9°
VstupnĂ­ rychlost: 36,2 km/s
Rektascenze radiantu: 07:36 (114,0°)
Deklinace radiantu: 32,4°
MeteorickĂ˝ roj: Geminidy
Elementy dráhy meteoroidu:
Vzdálenost v periheliu: 0,140 AU
Excentricita: 0,897
Sklon dráhy: 24,3°
Délka vzestupného uzlu: 262,4°
Argument perihelia: 324,4°
Střední anomálie: 336,9°
Epocha: 2016 DEC 14 04:10:02
orbit plot

NeinteraktivnĂ­ graf | InteraktivnĂ­ graf

position vs time
speed and acceleration