🇳🇴 🇬🇧 🇩🇪 🇨🇿 🇫🇮

Meteor, poloha: Byrum 2016-12-14 04:41:02 UTC

Soubor KML  |  InteraktivnĂ­ mapa

Mapa zobrazuje dráhy meteoru. Světlejší čáry ukazují směry od pozorovacích stanic při objevení se meteoru a tmavší čáry, kde byl naposledy viděn. Modrá šipka značí viditelnou dráhu meteoru.

static map
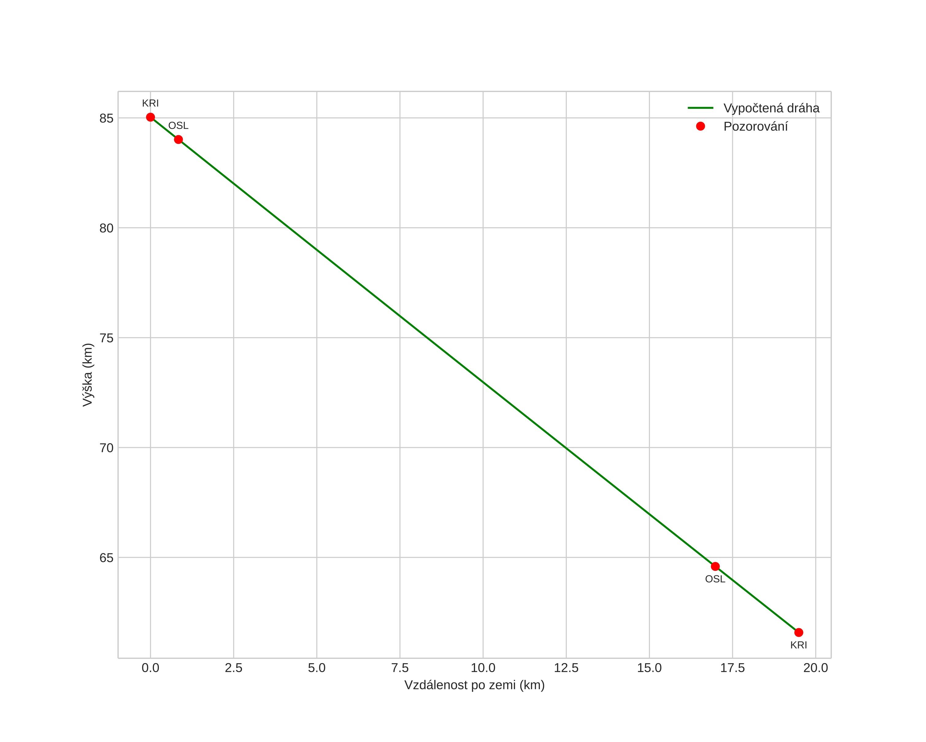
height profile
Atmosférická dráha meteoru:
Počáteční výška: 85,0 km
Konečná výška: 61,6 km
Počáteční poloha: 56,954N 10,442E
Konečná poloha: 56,999N 10,752E
Směr: 75,0°
Sklon: 50,2°
VstupnĂ­ rychlost: 35,6 km/s
Rektascenze radiantu: 07:38 (114,7°)
Deklinace radiantu: 32,6°
MeteorickĂ˝ roj: Geminidy
Elementy dráhy meteoroidu:
Vzdálenost v periheliu: 0,141 AU
Excentricita: 0,890
Sklon dráhy: 24,3°
Délka vzestupného uzlu: 262,4°
Argument perihelia: 325,0°
Střední anomálie: 334,4°
Epocha: 2016 DEC 14 04:41:02
orbit plot

NeinteraktivnĂ­ graf | InteraktivnĂ­ graf

position vs time
speed and acceleration