🇳🇴 🇬🇧 🇩🇪 🇨🇿 🇫🇮

Meteor, poloha: LĂĄngsele 2016-12-14 06:07:56 UTC

Soubor KML  |  InteraktivnĂ­ mapa

Mapa zobrazuje dráhy meteoru. Světlejší čáry ukazují směry od pozorovacích stanic při objevení se meteoru a tmavší čáry, kde byl naposledy viděn. Modrá šipka značí viditelnou dráhu meteoru.

static map
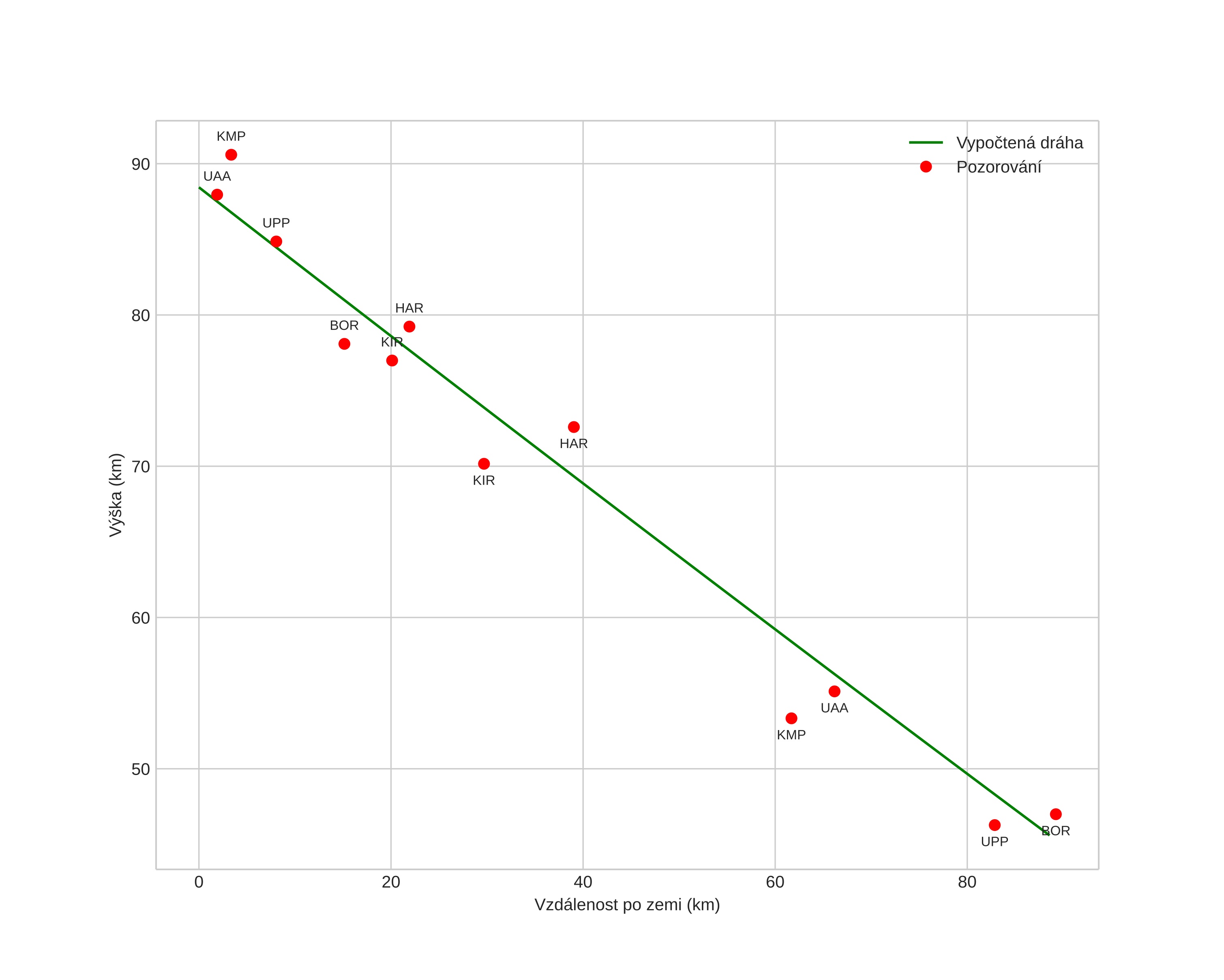
height profile
Atmosférická dráha meteoru:
Počáteční výška: 88,4 km
Konečná výška: 45,6 km
Počáteční poloha: 64,296N 18,245E
Konečná poloha: 64,565N 19,982E
Směr: 69,5°
Sklon: 25,8°
VstupnĂ­ rychlost: 39,8 km/s
Rektascenze radiantu: 08:47 (131,9°)
Deklinace radiantu: 13,4°
MeteorickĂ˝ roj: sporadickĂ˝
Elementy dráhy meteoroidu:
Vzdálenost v periheliu: 0,006 AU
Excentricita: 0,992
Sklon dráhy: 59,4°
Délka vzestupného uzlu: 82,5°
Argument perihelia: 174,5°
Střední anomálie: 310,2°
Epocha: 2016 DEC 14 06:07:56
orbit plot

NeinteraktivnĂ­ graf | InteraktivnĂ­ graf

position vs time
speed and acceleration