🇳🇴 🇬🇧 🇩🇪 🇨🇿 🇫🇮

Meteor, poloha: Lierbyen 2016-12-14 19:14:39 UTC

Soubor KML  |  InteraktivnĂ­ mapa

Mapa zobrazuje dráhy meteoru. Světlejší čáry ukazují směry od pozorovacích stanic při objevení se meteoru a tmavší čáry, kde byl naposledy viděn. Modrá šipka značí viditelnou dráhu meteoru.

static map
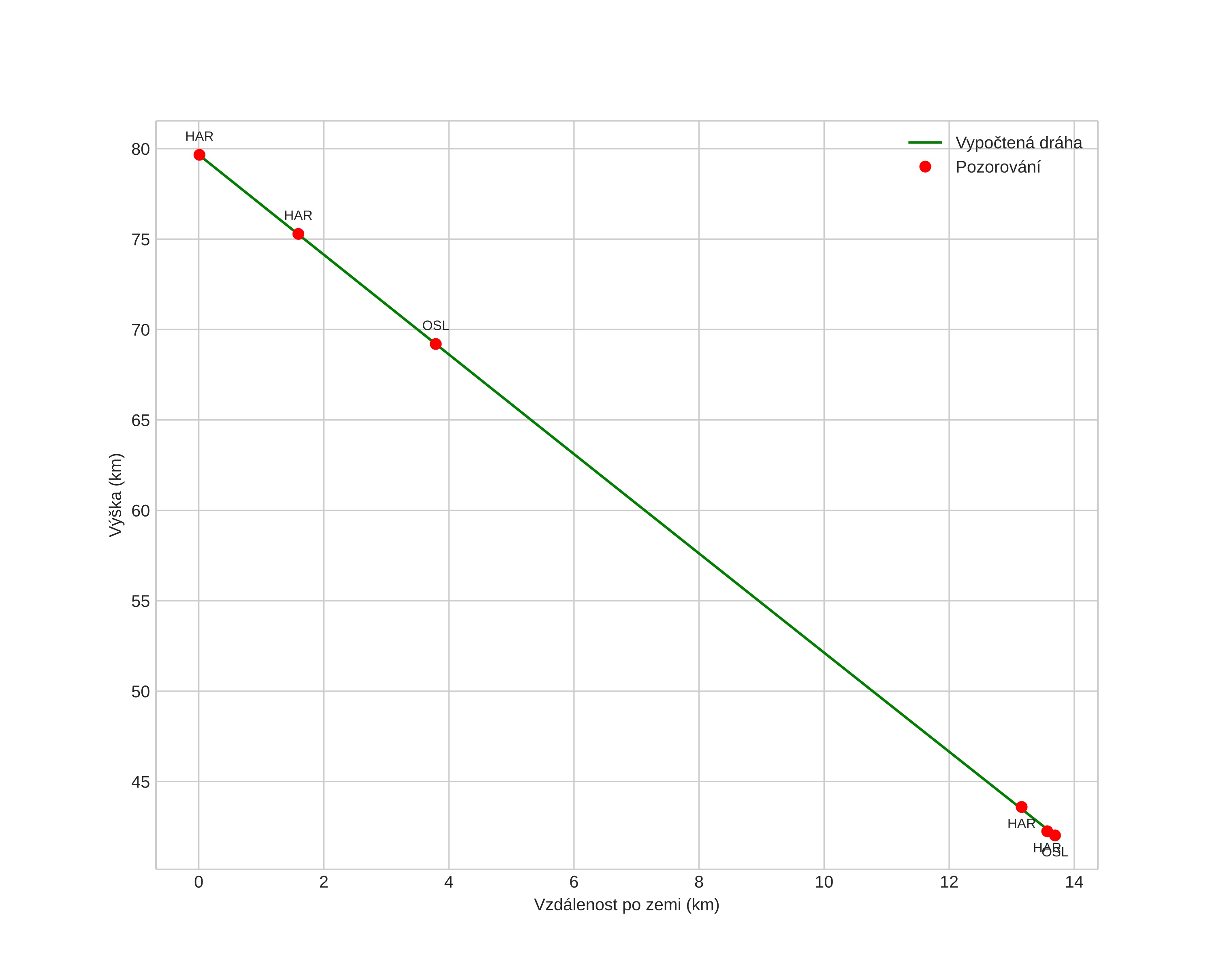
height profile
Atmosférická dráha meteoru:
Počáteční výška: 79,7 km
Konečná výška: 42,0 km
Počáteční poloha: 59,770N 9,963E
Konečná poloha: 59,808N 10,195E
Směr: 71,8°
Sklon: 70,0°
VstupnĂ­ rychlost: 15,9 km/s
Rektascenze radiantu: 23:10 (347,7°)
Deklinace radiantu: 46,4°
MeteorickĂ˝ roj: sporadickĂ˝
Elementy dráhy meteoroidu:
Vzdálenost v periheliu: 0,978 AU
Excentricita: 0,664
Sklon dráhy: 12,4°
Délka vzestupného uzlu: 263,0°
Argument perihelia: 190,6°
Střední anomálie: 358,4°
Epocha: 2016 DEC 14 19:14:39
orbit plot

NeinteraktivnĂ­ graf | InteraktivnĂ­ graf

position vs time
speed and acceleration