🇳🇴 🇬🇧 🇩🇪 🇨🇿 🇫🇮

Meteor, poloha: Hov 2016-12-14 21:15:41 UTC

Soubor KML  |  InteraktivnĂ­ mapa

Mapa zobrazuje dráhy meteoru. Světlejší čáry ukazují směry od pozorovacích stanic při objevení se meteoru a tmavší čáry, kde byl naposledy viděn. Modrá šipka značí viditelnou dráhu meteoru.

static map
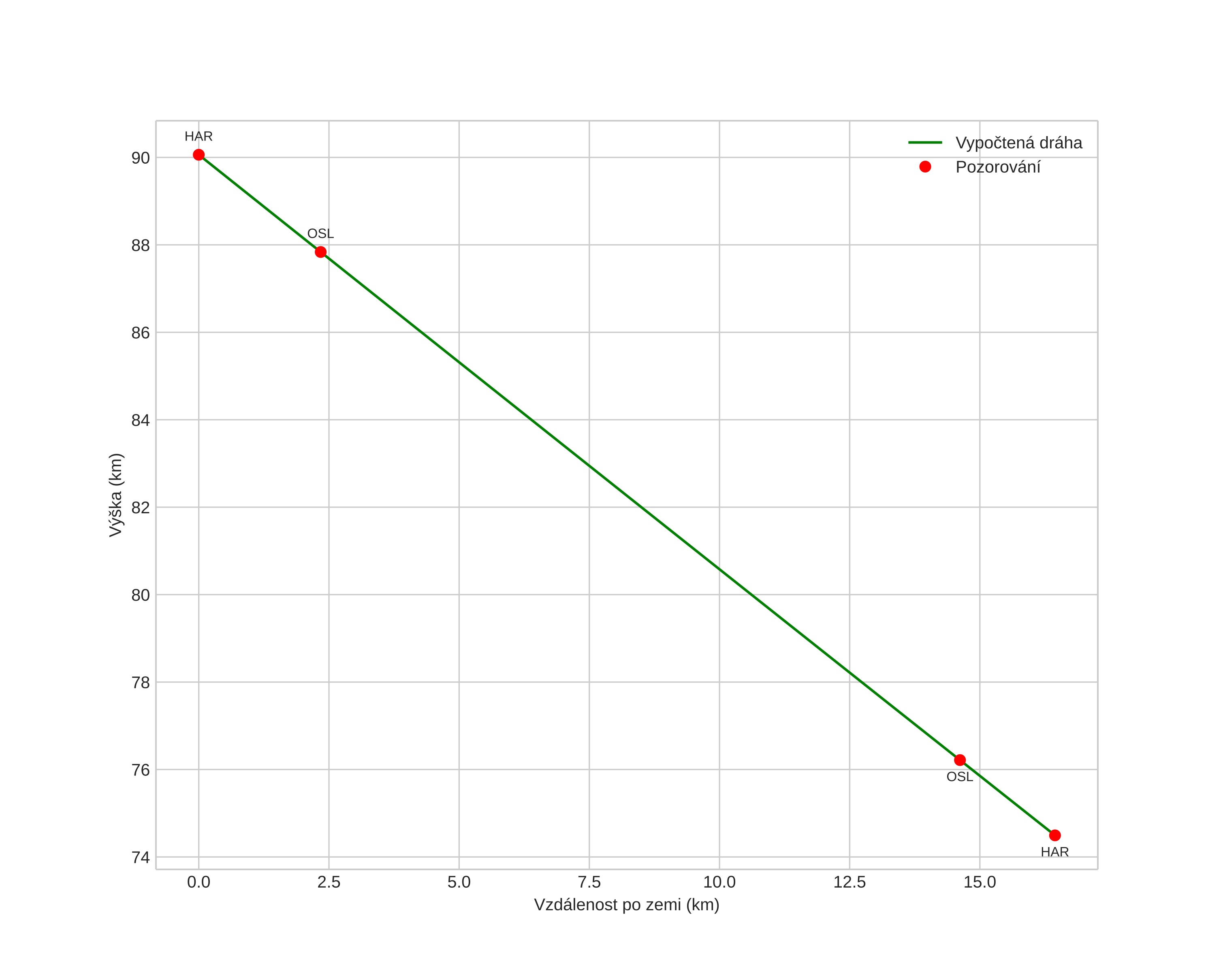
height profile
Atmosférická dráha meteoru:
Počáteční výška: 90,1 km
Konečná výška: 74,5 km
Počáteční poloha: 60,530N 10,468E
Konečná poloha: 60,547N 10,169E
Směr: 276,7°
Sklon: 43,5°
VstupnĂ­ rychlost: 36,9 km/s
Rektascenze radiantu: 07:34 (113,7°)
Deklinace radiantu: 33,1°
MeteorickĂ˝ roj: Geminidy
Elementy dráhy meteoroidu:
Vzdálenost v periheliu: 0,150 AU
Excentricita: 0,899
Sklon dráhy: 25,0°
Délka vzestupného uzlu: 263,1°
Argument perihelia: 322,2°
Střední anomálie: 339,8°
Epocha: 2016 DEC 14 21:15:41
orbit plot

NeinteraktivnĂ­ graf | InteraktivnĂ­ graf

position vs time
speed and acceleration