🇳🇴 🇬🇧 🇩🇪 🇨🇿 🇫🇮

Meteor, poloha: Siljan 2016-12-15 06:06:30 UTC

Soubor KML  |  InteraktivnĂ­ mapa

Mapa zobrazuje dráhy meteoru. Světlejší čáry ukazují směry od pozorovacích stanic při objevení se meteoru a tmavší čáry, kde byl naposledy viděn. Modrá šipka značí viditelnou dráhu meteoru.

static map
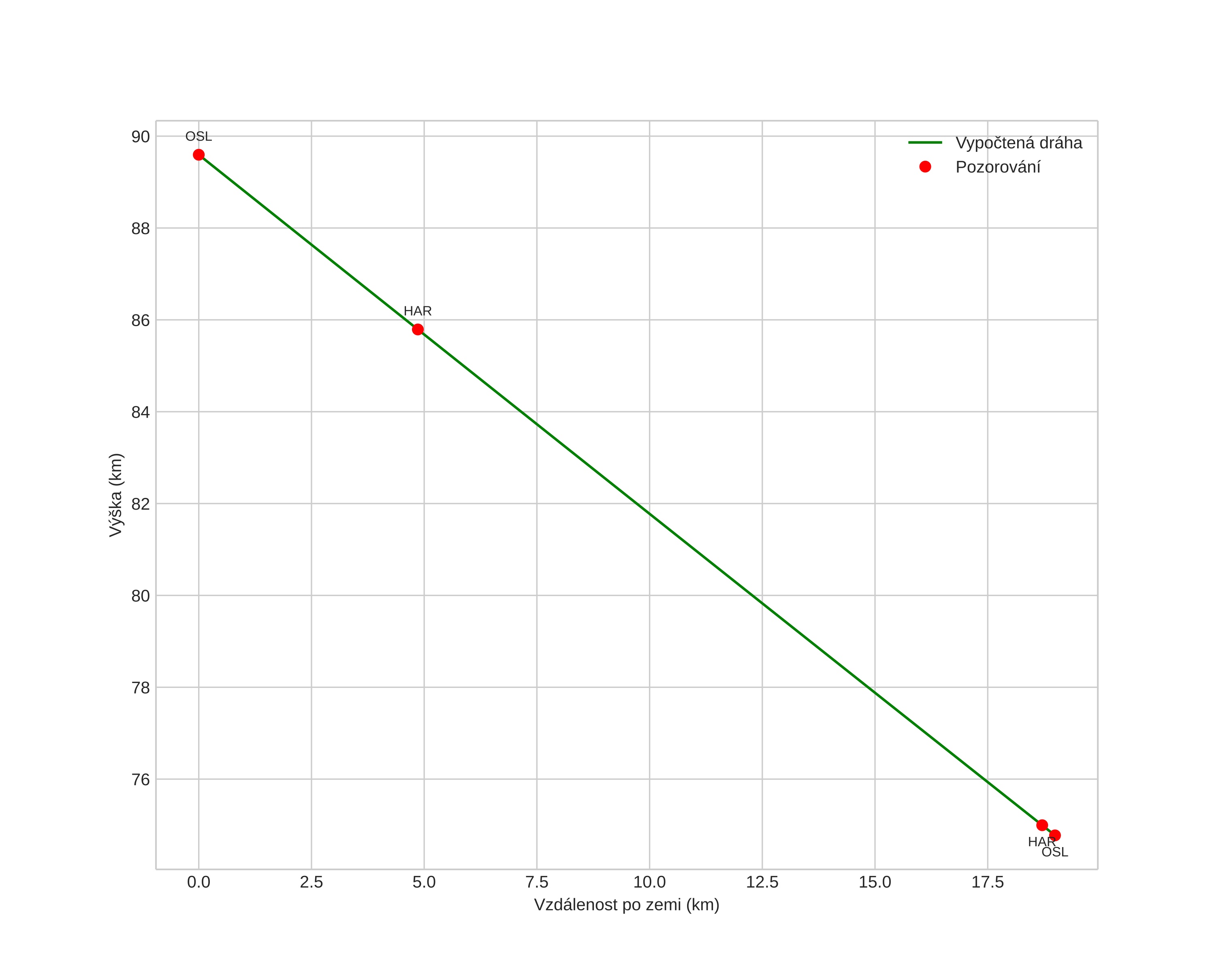
height profile
Atmosférická dráha meteoru:
Počáteční výška: 89,6 km
Konečná výška: 74,8 km
Počáteční poloha: 59,256N 9,344E
Konečná poloha: 59,241N 9,677E
Směr: 94,7°
Sklon: 37,9°
VstupnĂ­ rychlost: 31,2 km/s
Rektascenze radiantu: 07:26 (111,7°)
Deklinace radiantu: 32,4°
MeteorickĂ˝ roj: Geminidy
Elementy dráhy meteoroidu:
Vzdálenost v periheliu: 0,211 AU
Excentricita: 0,820
Sklon dráhy: 16,4°
Délka vzestupného uzlu: 263,5°
Argument perihelia: 318,0°
Střední anomálie: 327,4°
Epocha: 2016 DEC 15 06:06:30
orbit plot

NeinteraktivnĂ­ graf | InteraktivnĂ­ graf

position vs time
speed and acceleration