🇳🇴 🇬🇧 🇩🇪 🇨🇿 🇫🇮

Meteor, poloha: Vestbygd 2016-12-22 01:10:01 UTC

Soubor KML  |  InteraktivnĂ­ mapa

Mapa zobrazuje dráhy meteoru. Světlejší čáry ukazují směry od pozorovacích stanic při objevení se meteoru a tmavší čáry, kde byl naposledy viděn. Modrá šipka značí viditelnou dráhu meteoru.

static map
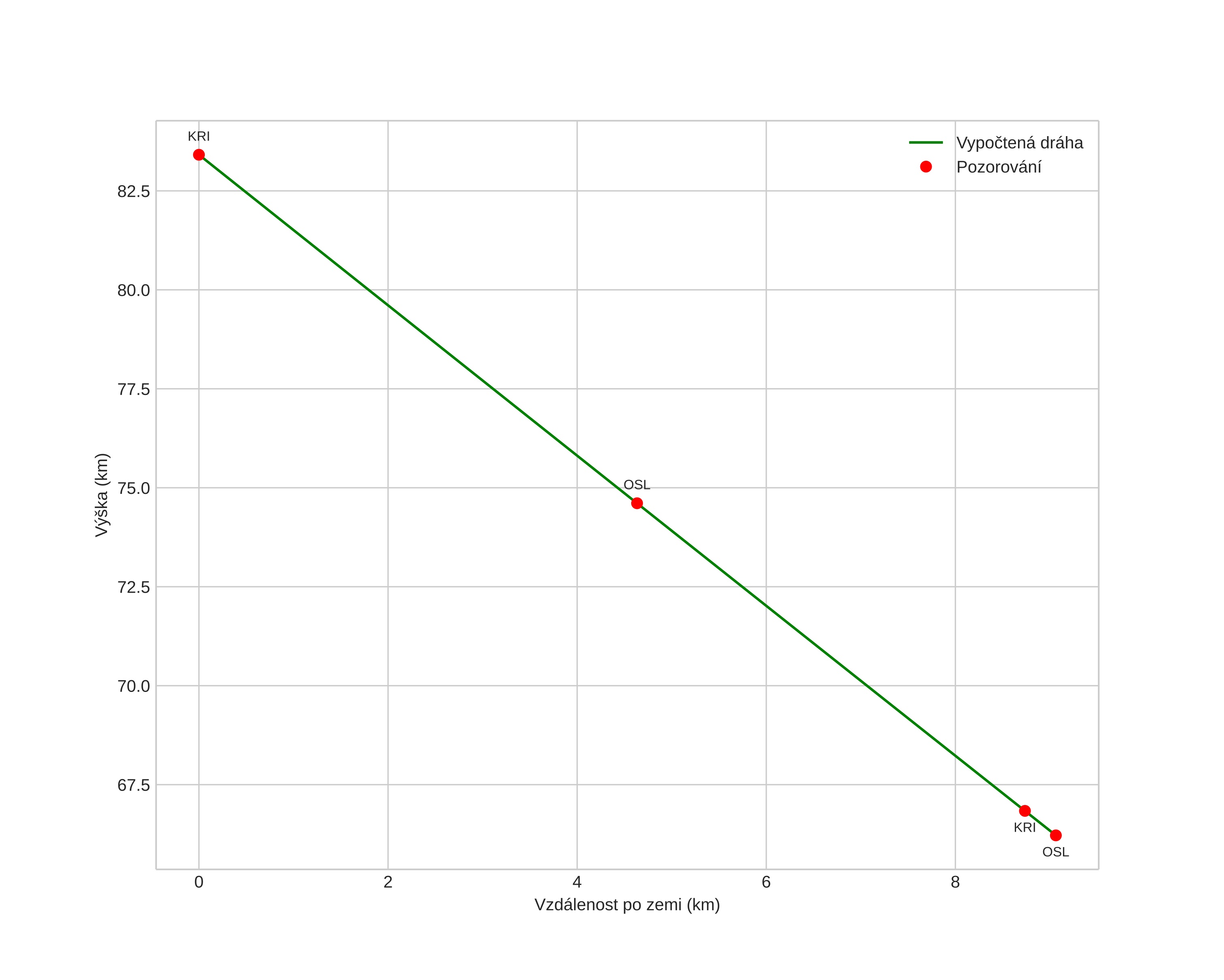
height profile
Atmosférická dráha meteoru:
Počáteční výška: 83,4 km
Konečná výška: 66,2 km
Počáteční poloha: 56,785N 5,892E
Konečná poloha: 56,859N 5,956E
Směr: 25,2°
Sklon: 62,2°
VstupnĂ­ rychlost: 15,6 km/s
Rektascenze radiantu: 06:32 (98,1°)
Deklinace radiantu: 25,6°
MeteorickĂ˝ roj: sporadickĂ˝
Elementy dráhy meteoroidu:
Vzdálenost v periheliu: 0,672 AU
Excentricita: 0,360
Sklon dráhy: 0,9°
Délka vzestupného uzlu: 270,2°
Argument perihelia: 281,5°
Střední anomálie: 300,4°
Epocha: 2016 DEC 22 01:10:01
orbit plot

NeinteraktivnĂ­ graf | InteraktivnĂ­ graf

position vs time
speed and acceleration