🇳🇴 🇬🇧 🇩🇪 🇨🇿 🇫🇮

Meteor over Charlottenberg 2016-12-22 05:23:38 UTC

KML-fil  |  Interaktivt kart

Kartet viser peilingene for meteoren. De lysere linjene viser retningene fra observasjonsstedene for meteorens tilsynekomst, og de mørkere linjene viser hvor den sist kunne sees. Den blå pila viser meteorens synlige ferd.

static map
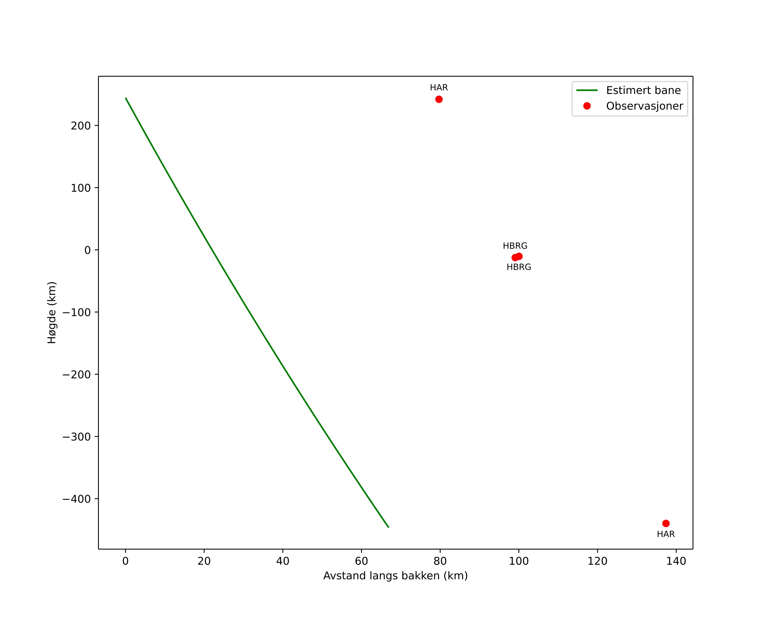
height profile
Meteorens atmosfæriske bane:
Starthøgde: 244,5 km
Slutthøgde: -446,6 km
Startposisjon: 60,546N 12,799E
Sluttposisjon: 59,954N 12,582E
Retning: 190,4°
Fallvinkel: 84,5°
Inngangshastighet: 426,5 km/s
Radiantens rektascensjon: 12:28 (187,0°)
Radiantens deklinasjon: 65,9°
Meteorsverm: sporadisk
Meteoroidens baneelement:
Perihelavstand: 0,928 AU
Eksentrisitet: 179,421
Inklinasjon: 111,1°
Knutelengde: 270,6°
Perihelargument: 199,4°
Midlere anomali: -3576,7°
Epoke: 2016 DEC 22 05:23:38
orbit plot

Ikke-interaktivt plott | Interaktivt plott

position vs time
speed and acceleration

Harestua (HAR) cam2


gnomonic
Videoer
• Gnomonisk
• Gnomonisk med koordinater
• Original
• Original med koordinater
Bilder
• Gnomonisk
• Gnomonisk med koordinater
• Ukorrigert gnomonisk med koordinater
• Gnomonisk med annotering
• Ukorrigert gnomonisk med annotering
• Original
• Original med koordinater
• Original med maske
Tekstfiler
• Deteksjon
• Observasjon
• Koordinater
• Feilmeldinger
• Logg
Lysstyrke