🇳🇴 🇬🇧 🇩🇪 🇨🇿 🇫🇮

Meteor, poloha: Sollebrunn 2016-12-22 06:16:39 UTC

Soubor KML  |  InteraktivnĂ­ mapa

Mapa zobrazuje dráhy meteoru. Světlejší čáry ukazují směry od pozorovacích stanic při objevení se meteoru a tmavší čáry, kde byl naposledy viděn. Modrá šipka značí viditelnou dráhu meteoru.

static map
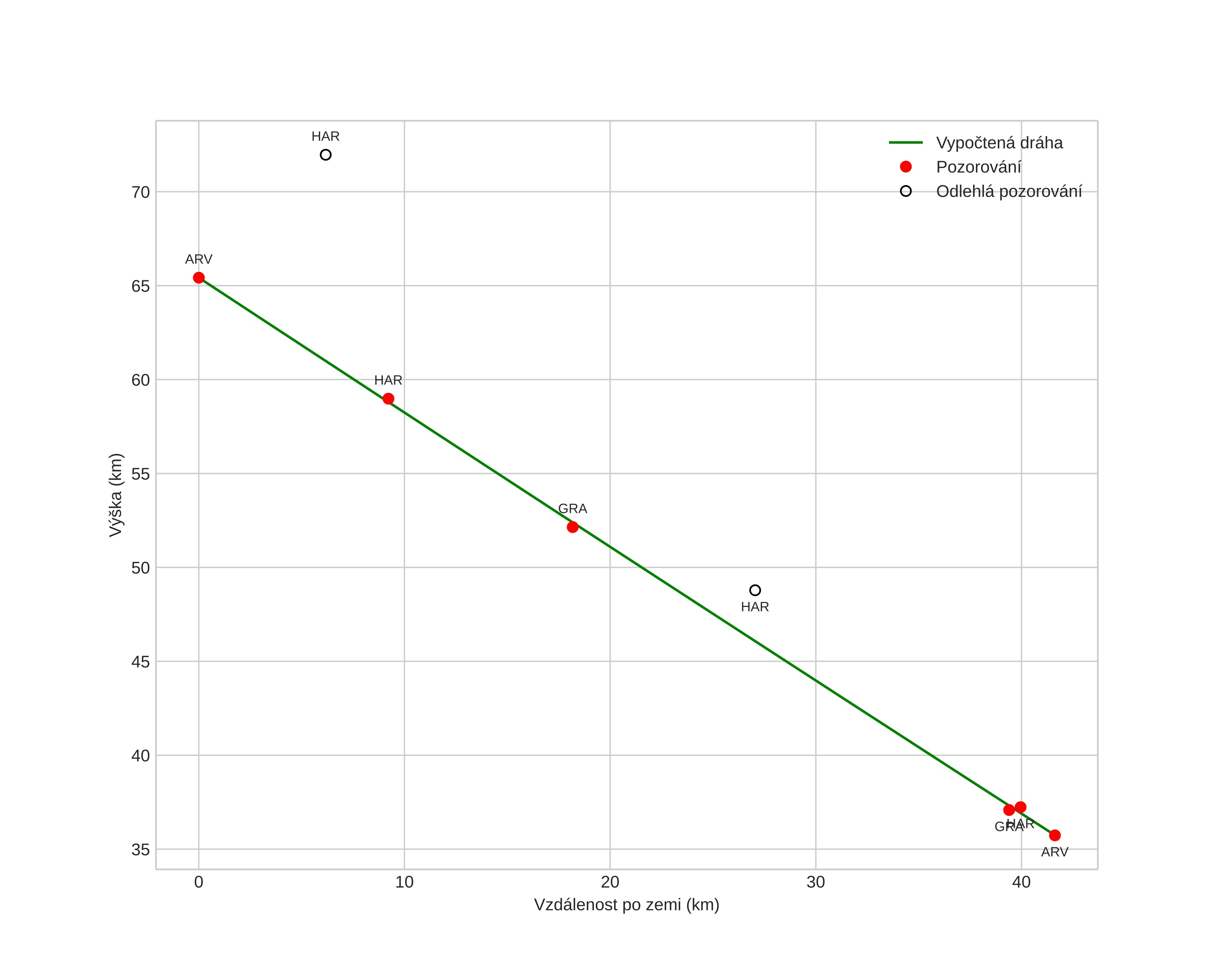
height profile
Atmosférická dráha meteoru:
Počáteční výška: 65,4 km
Konečná výška: 35,7 km
Počáteční poloha: 58,401N 13,004E
Konečná poloha: 58,120N 12,535E
Směr: 221,5°
Sklon: 35,5°
VstupnĂ­ rychlost: 14,9 km/s
Rektascenze radiantu: 21:22 (320,7°)
Deklinace radiantu: 45,0°
MeteorickĂ˝ roj: sporadickĂ˝
Elementy dráhy meteoroidu:
Vzdálenost v periheliu: 0,982 AU
Excentricita: 0,478
Sklon dráhy: 12,7°
Délka vzestupného uzlu: 270,6°
Argument perihelia: 174,1°
Střední anomálie: 1,9°
Epocha: 2016 DEC 22 06:16:39
orbit plot

NeinteraktivnĂ­ graf | InteraktivnĂ­ graf

position vs time
speed and acceleration