🇳🇴 🇬🇧 🇩🇪 🇨🇿 🇫🇮

Meteor, poloha: Tynset 2016-12-22 22:01:57 UTC

Soubor KML  |  InteraktivnĂ­ mapa

Mapa zobrazuje dráhy meteoru. Světlejší čáry ukazují směry od pozorovacích stanic při objevení se meteoru a tmavší čáry, kde byl naposledy viděn. Modrá šipka značí viditelnou dráhu meteoru.

static map
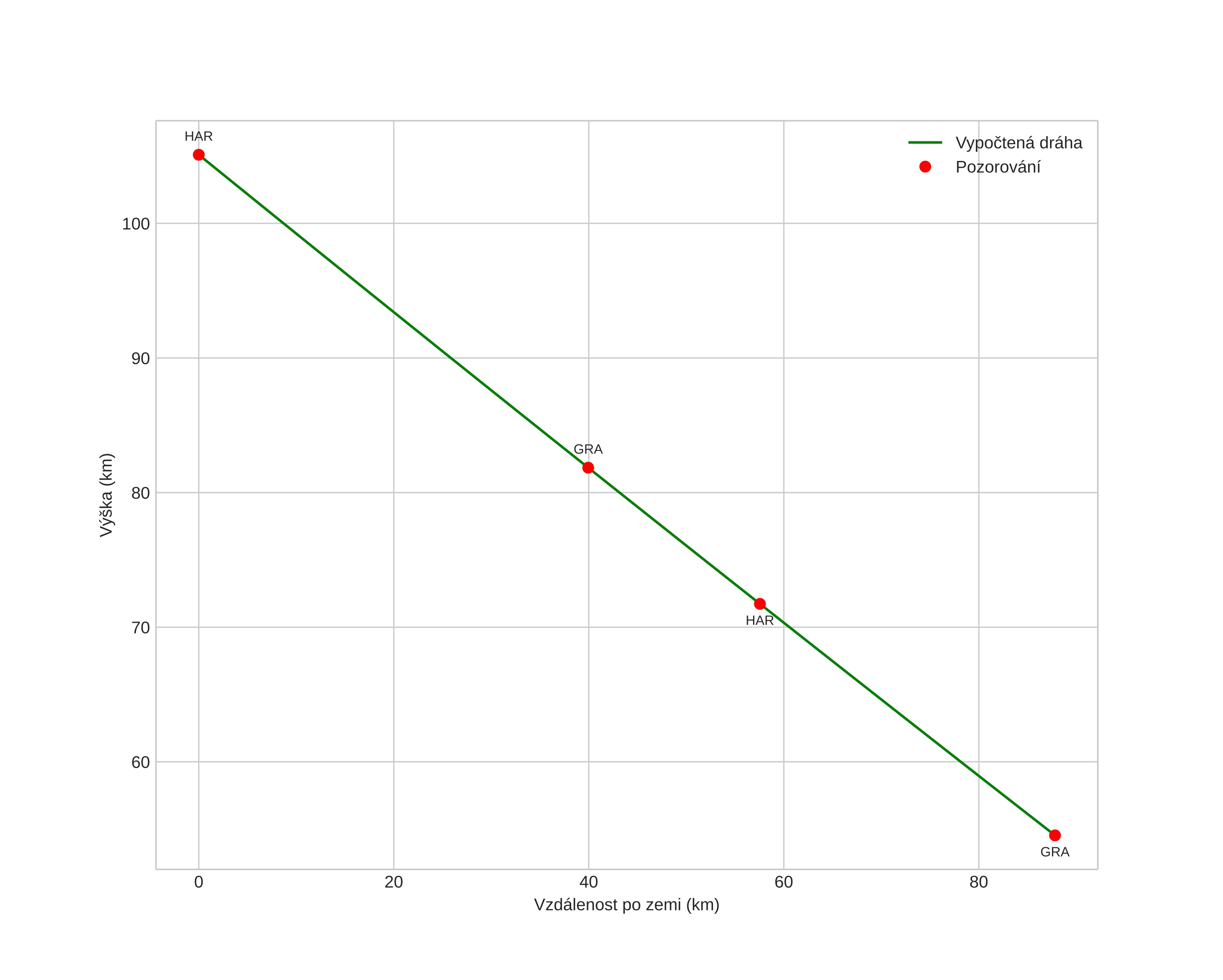
height profile
Atmosférická dráha meteoru:
Počáteční výška: 105,1 km
Konečná výška: 54,5 km
Počáteční poloha: 61,335N 10,595E
Konečná poloha: 62,106N 10,954E
Směr: 12,3°
Sklon: 30,0°
VstupnĂ­ rychlost: 19,4 km/s
Rektascenze radiantu: 04:02 (60,7°)
Deklinace radiantu: -4,7°
MeteorickĂ˝ roj: sporadickĂ˝
Elementy dráhy meteoroidu:
Vzdálenost v periheliu: 0,889 AU
Excentricita: 0,857
Sklon dráhy: 9,9°
Délka vzestupného uzlu: 91,3°
Argument perihelia: 37,6°
Střední anomálie: 358,4°
Epocha: 2016 DEC 22 22:01:57
orbit plot

NeinteraktivnĂ­ graf | InteraktivnĂ­ graf

position vs time
speed and acceleration