🇳🇴 🇬🇧 🇩🇪 🇨🇿 🇫🇮

Meteor, poloha: ElnesvĂĄgen 2017-01-01 01:05:40 UTC

Soubor KML  |  InteraktivnĂ­ mapa

Mapa zobrazuje dráhy meteoru. Světlejší čáry ukazují směry od pozorovacích stanic při objevení se meteoru a tmavší čáry, kde byl naposledy viděn. Modrá šipka značí viditelnou dráhu meteoru.

static map
height profile
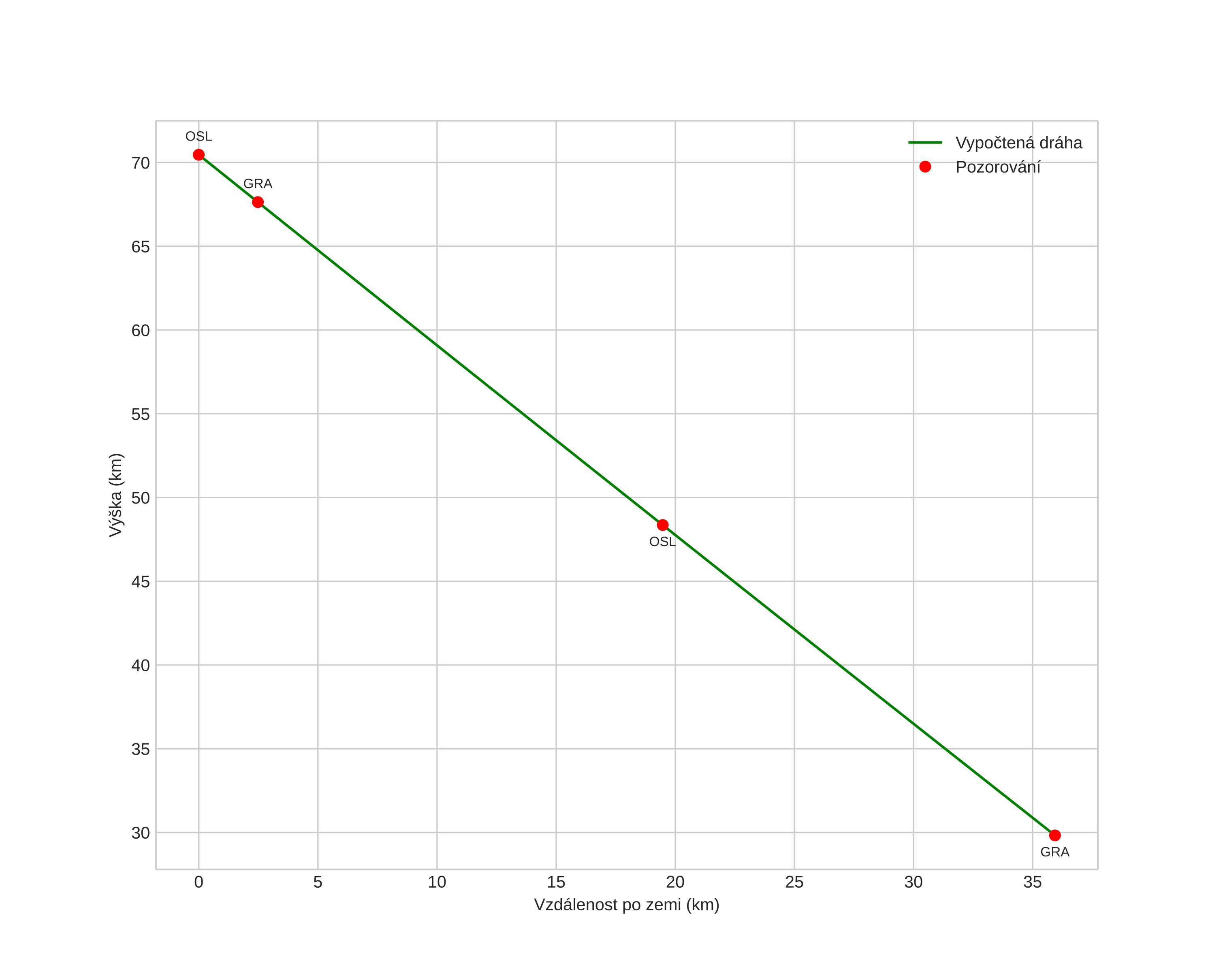
Atmosférická dráha meteoru:
Počáteční výška: 70,5 km
Konečná výška: 29,8 km
Počáteční poloha: 63,760N 6,649E
Konečná poloha: 64,064N 6,895E
Směr: 19,5°
Sklon: 48,6°
VstupnĂ­ rychlost: 29,1 km/s
Rektascenze radiantu: 07:16 (109,0°)
Deklinace radiantu: 21,6°
MeteorickĂ˝ roj: sporadickĂ˝
Elementy dráhy meteoroidu:
Vzdálenost v periheliu: 0,435 AU
Excentricita: 0,824
Sklon dráhy: 0,7°
Délka vzestupného uzlu: 100,7°
Argument perihelia: 103,4°
Střední anomálie: 349,2°
Epocha: 2017 JAN 01 01:05:40
orbit plot

NeinteraktivnĂ­ graf | InteraktivnĂ­ graf

position vs time
speed and acceleration