🇳🇴 🇬🇧 🇩🇪 🇨🇿 🇫🇮

Meteor, poloha: Ekshärad 2017-01-01 03:14:07 UTC

Soubor KML  |  InteraktivnĂ­ mapa

Mapa zobrazuje dráhy meteoru. Světlejší čáry ukazují směry od pozorovacích stanic při objevení se meteoru a tmavší čáry, kde byl naposledy viděn. Modrá šipka značí viditelnou dráhu meteoru.

static map
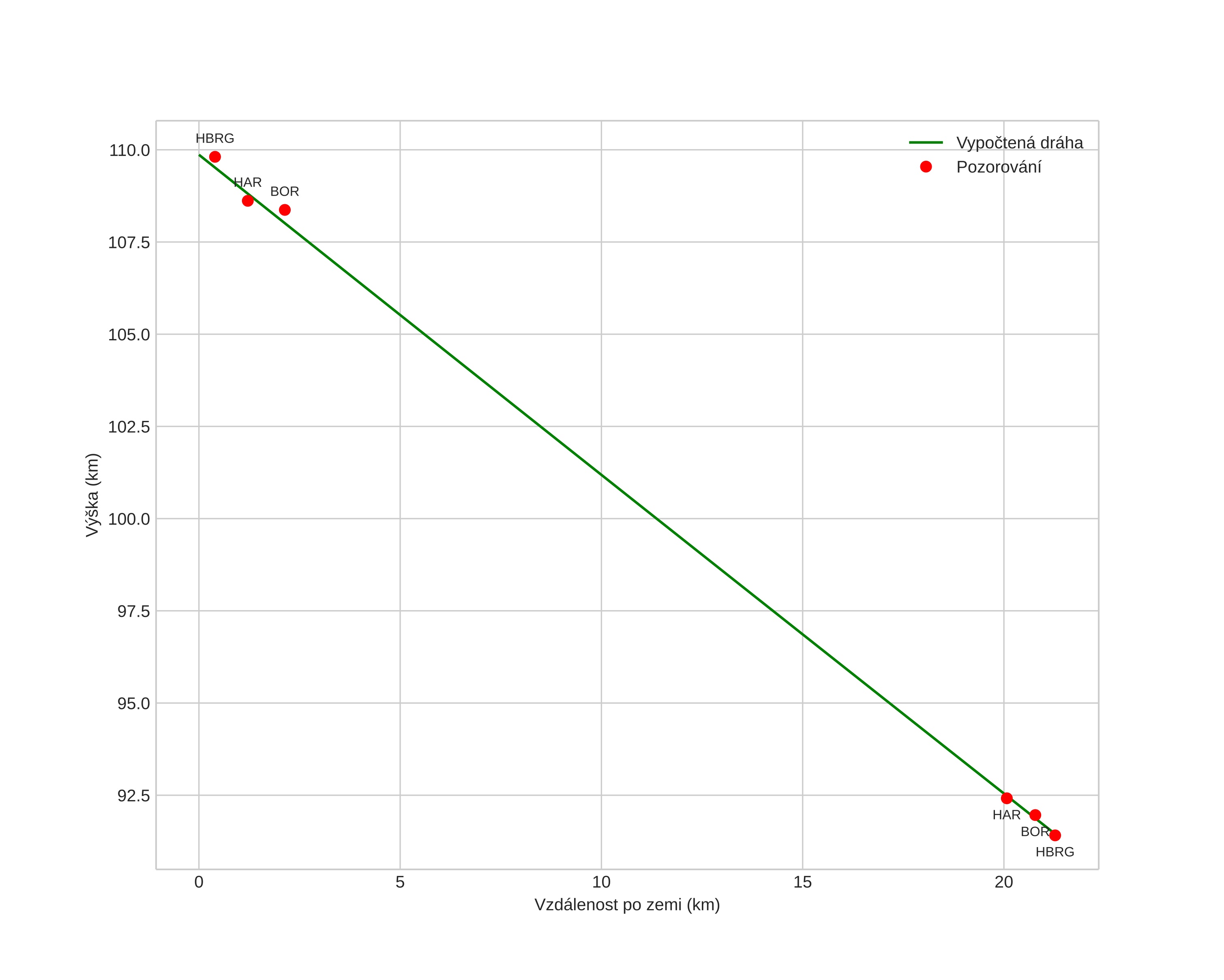
height profile
Atmosférická dráha meteoru:
Počáteční výška: 109,9 km
Konečná výška: 91,4 km
Počáteční poloha: 60,195N 13,845E
Konečná poloha: 60,257N 13,481E
Směr: 289,0°
Sklon: 41,0°
VstupnĂ­ rychlost: 50,3 km/s
Rektascenze radiantu: 14:24 (216,1°)
Deklinace radiantu: 26,1°
MeteorickĂ˝ roj: sporadickĂ˝
Elementy dráhy meteoroidu:
Vzdálenost v periheliu: 0,806 AU
Excentricita: 0,292
Sklon dráhy: 103,8°
Délka vzestupného uzlu: 280,7°
Argument perihelia: 101,5°
Střední anomálie: 47,5°
Epocha: 2017 JAN 01 03:14:07
orbit plot

NeinteraktivnĂ­ graf | InteraktivnĂ­ graf

position vs time
speed and acceleration