🇳🇴 🇬🇧 🇩🇪 🇨🇿 🇫🇮

Meteor, poloha: Vikersund 2017-01-02 01:49:03 UTC

Soubor KML  |  InteraktivnĂ­ mapa

Mapa zobrazuje dráhy meteoru. Světlejší čáry ukazují směry od pozorovacích stanic při objevení se meteoru a tmavší čáry, kde byl naposledy viděn. Modrá šipka značí viditelnou dráhu meteoru.

static map
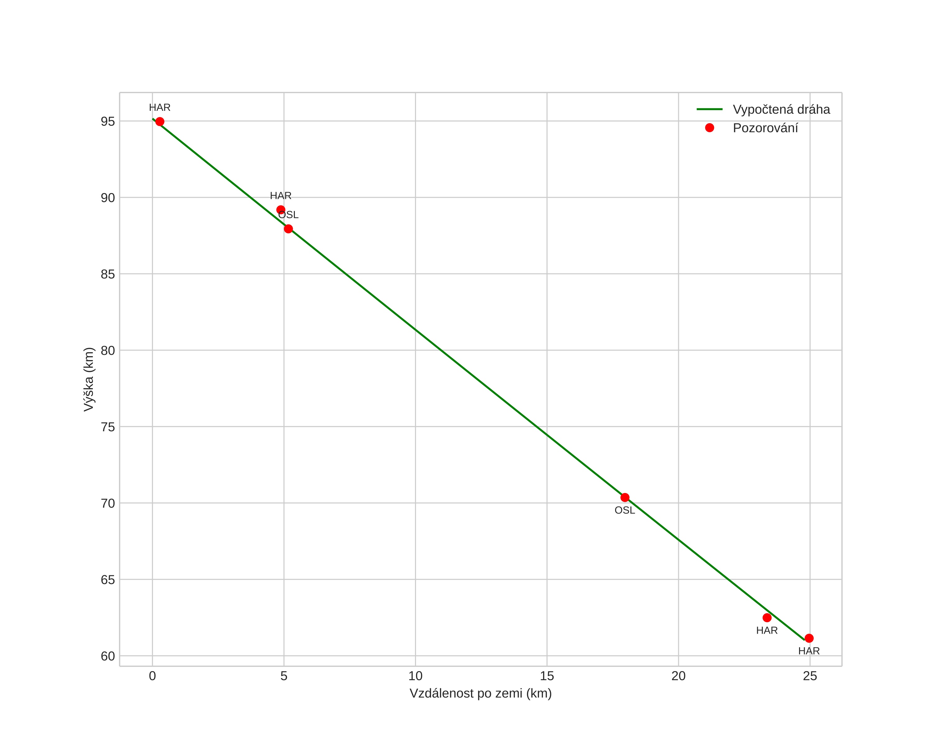
height profile
Atmosférická dráha meteoru:
Počáteční výška: 95,2 km
Konečná výška: 61,0 km
Počáteční poloha: 59,895N 9,779E
Konečná poloha: 60,070N 10,055E
Směr: 38,2°
Sklon: 54,1°
VstupnĂ­ rychlost: 31,5 km/s
Rektascenze radiantu: 07:33 (113,5°)
Deklinace radiantu: 26,7°
MeteorickĂ˝ roj: sporadickĂ˝
Elementy dráhy meteoroidu:
Vzdálenost v periheliu: 0,384 AU
Excentricita: 0,869
Sklon dráhy: 5,7°
Délka vzestupného uzlu: 281,6°
Argument perihelia: 288,2°
Střední anomálie: 352,0°
Epocha: 2017 JAN 02 01:49:03
orbit plot

NeinteraktivnĂ­ graf | InteraktivnĂ­ graf

position vs time
speed and acceleration