🇳🇴 🇬🇧 🇩🇪 🇨🇿 🇫🇮

Meteor Insjönin yllä 2017-01-02 16:46:57 UTC

KML-tiedosto  |  Interaktiivinen kartta

Kartta näyttää meteorin suuntahavainnot. Vaaleammat viivat näyttävät suunnat havaintoasemilta meteorin ilmestyessä, ja tummemmat viivat näyttävät, missä se viimeksi nähtiin. Sininen nuoli näyttää meteorin näkyvän lennon.

static map
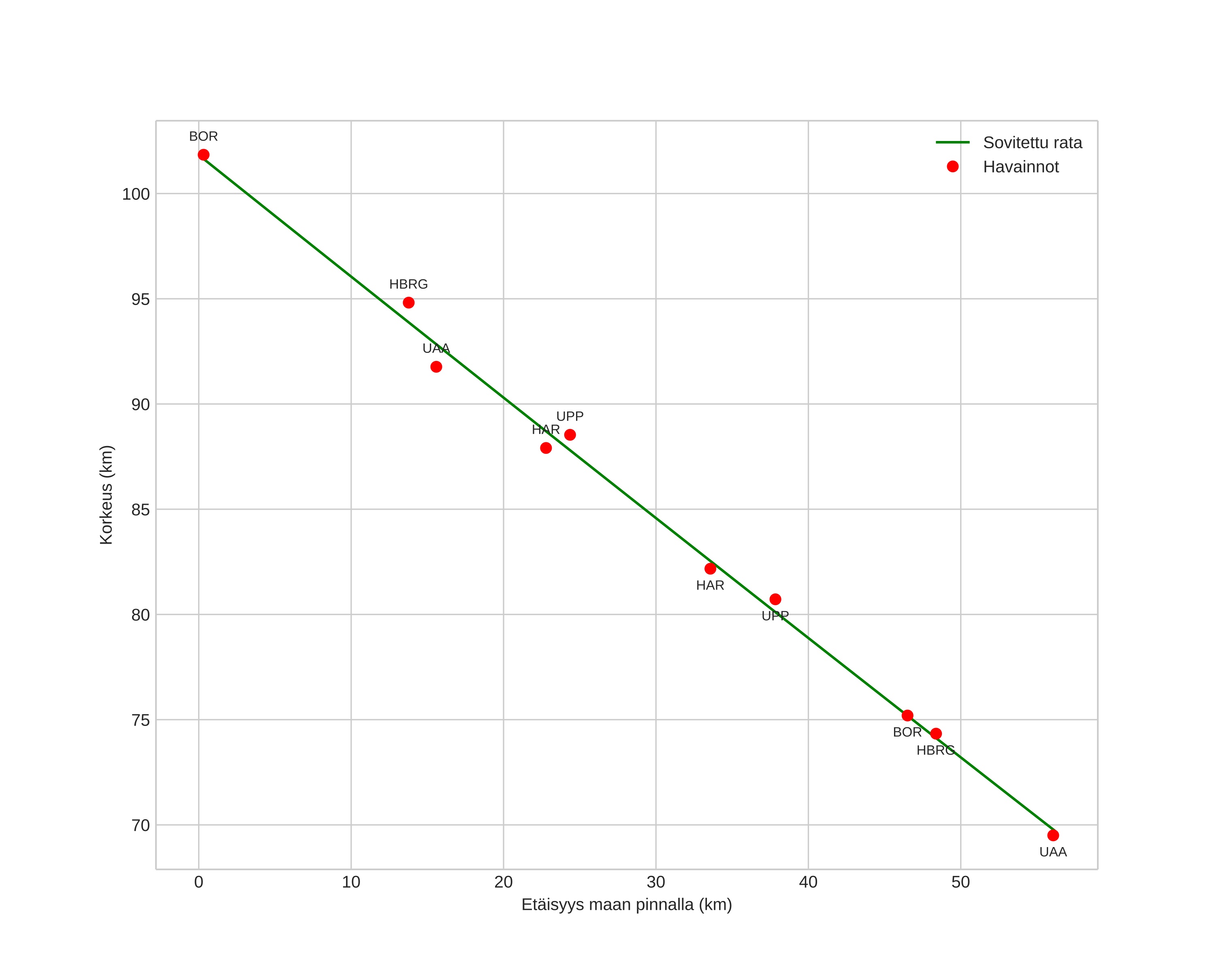
height profile
Meteorin ilmakehärata:
Alkukorkeus: 101,8 km
Loppukorkeus: 69,7 km
Alkupiste: 61,240N 14,817E
Loppupiste: 60,765N 15,175E
Suunta: 159,8°
Kallistuskulma: 29,7°
Tulonopeus: 39,3 km/s
Radiantin R,A,: 14:43 (221,0°)
Radiantin Dekl,: 54,4°
Meteoriparvi: Kvadrantidit
Meteoroidin rataelementit:
Perihelietäisyys: 0,976 AU
Eksentrisyys: 0,500
Inklinaatio: 67,8°
Nousevan solmun pituus: 282,3°
Perihelin argumentti: 192,0°
Keskianomalia: 356,5°
Epookki: 2017 JAN 02 16:46:57
orbit plot

Ei-interaktiivinen kuvaaja | Interaktiivinen kuvaaja

position vs time
speed and acceleration