🇳🇴 🇬🇧 🇩🇪 🇨🇿 🇫🇮

Meteor Jørpelandin yllä 2017-01-03 18:17:14 UTC

KML-tiedosto  |  Interaktiivinen kartta

Kartta näyttää meteorin suuntahavainnot. Vaaleammat viivat näyttävät suunnat havaintoasemilta meteorin ilmestyessä, ja tummemmat viivat näyttävät, missä se viimeksi nähtiin. Sininen nuoli näyttää meteorin näkyvän lennon.

static map
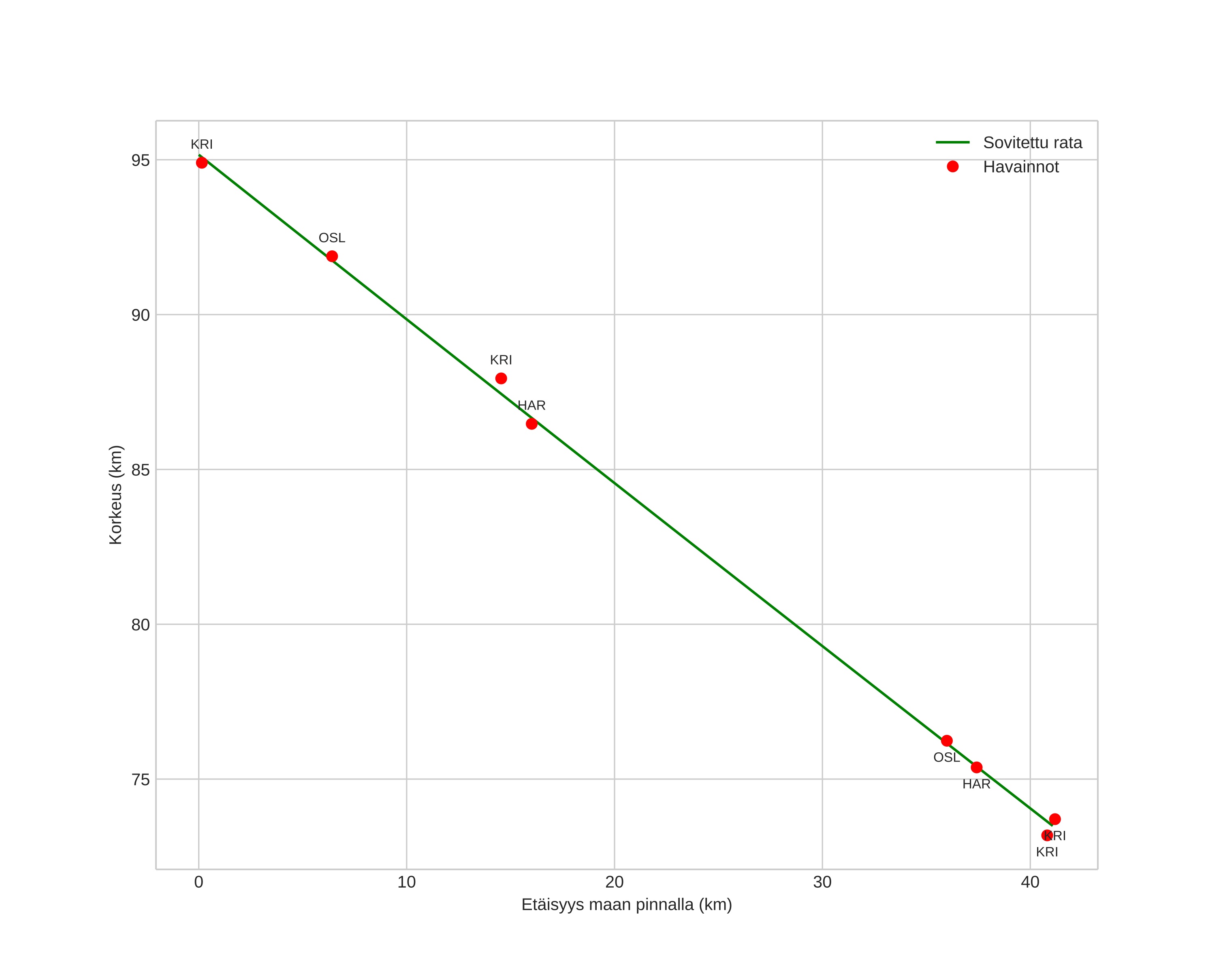
height profile
Meteorin ilmakehärata:
Alkukorkeus: 95,2 km
Loppukorkeus: 73,5 km
Alkupiste: 59,239N 6,099E
Loppupiste: 58,874N 6,210E
Suunta: 171,0°
Kallistuskulma: 27,8°
Tulonopeus: 36,2 km/s
Radiantin R,A,: 14:36 (219,1°)
Radiantin Dekl,: 56,3°
Meteoriparvi: Kvadrantidit
Meteoroidin rataelementit:
Perihelietäisyys: 0,963 AU
Eksentrisyys: 0,384
Inklinaatio: 62,9°
Nousevan solmun pituus: 283,3°
Perihelin argumentti: 202,3°
Keskianomalia: 350,7°
Epookki: 2017 JAN 03 18:17:14
orbit plot

Ei-interaktiivinen kuvaaja | Interaktiivinen kuvaaja

position vs time
speed and acceleration