🇳🇴 🇬🇧 🇩🇪 🇨🇿 🇫🇮

Meteor, poloha: Juist 2017-01-05 04:44:33 UTC

Soubor KML  |  InteraktivnĂ­ mapa

Mapa zobrazuje dráhy meteoru. Světlejší čáry ukazují směry od pozorovacích stanic při objevení se meteoru a tmavší čáry, kde byl naposledy viděn. Modrá šipka značí viditelnou dráhu meteoru.

static map
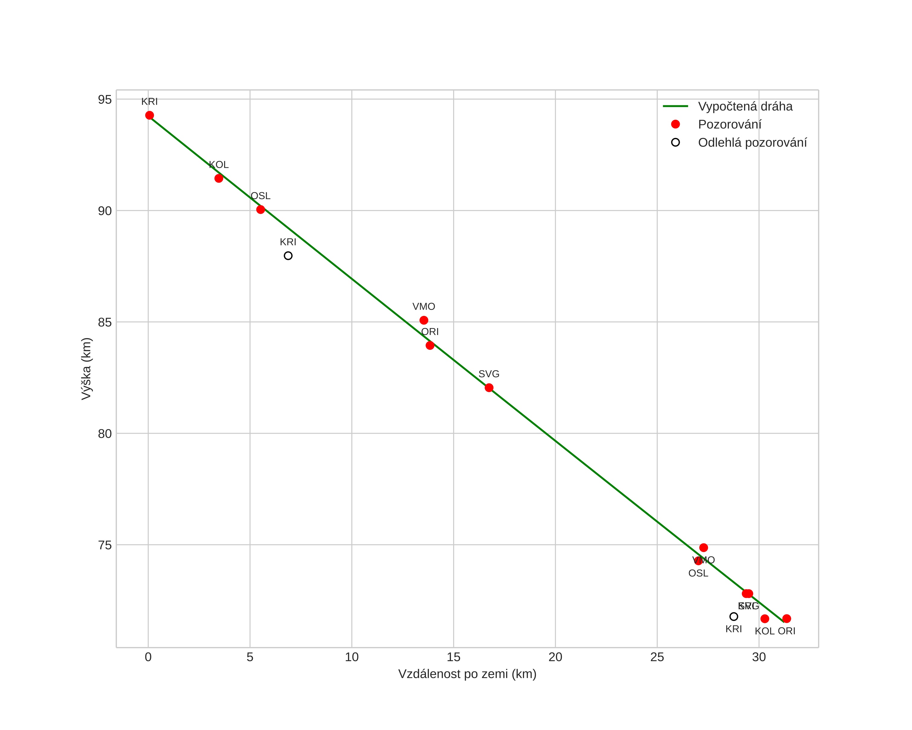
height profile
Atmosférická dráha meteoru:
Počáteční výška: 94,2 km
Konečná výška: 71,5 km
Počáteční poloha: 55,257N 6,829E
Konečná poloha: 55,050N 6,496E
Směr: 222,7°
Sklon: 36,0°
VstupnĂ­ rychlost: 23,2 km/s
Rektascenze radiantu: 19:31 (293,0°)
Deklinace radiantu: 52,9°
MeteorickĂ˝ roj: sporadickĂ˝
Elementy dráhy meteoroidu:
Vzdálenost v periheliu: 0,964 AU
Excentricita: 0,718
Sklon dráhy: 29,6°
Délka vzestupného uzlu: 284,8°
Argument perihelia: 162,5°
Střední anomálie: 2,0°
Epocha: 2017 JAN 05 04:44:33
orbit plot

NeinteraktivnĂ­ graf | InteraktivnĂ­ graf

position vs time
speed and acceleration