🇳🇴 🇬🇧 🇩🇪 🇨🇿 🇫🇮

Meteor, poloha: Gvarv 2017-01-13 21:16:05 UTC

Soubor KML  |  InteraktivnĂ­ mapa

Mapa zobrazuje dráhy meteoru. Světlejší čáry ukazují směry od pozorovacích stanic při objevení se meteoru a tmavší čáry, kde byl naposledy viděn. Modrá šipka značí viditelnou dráhu meteoru.

static map
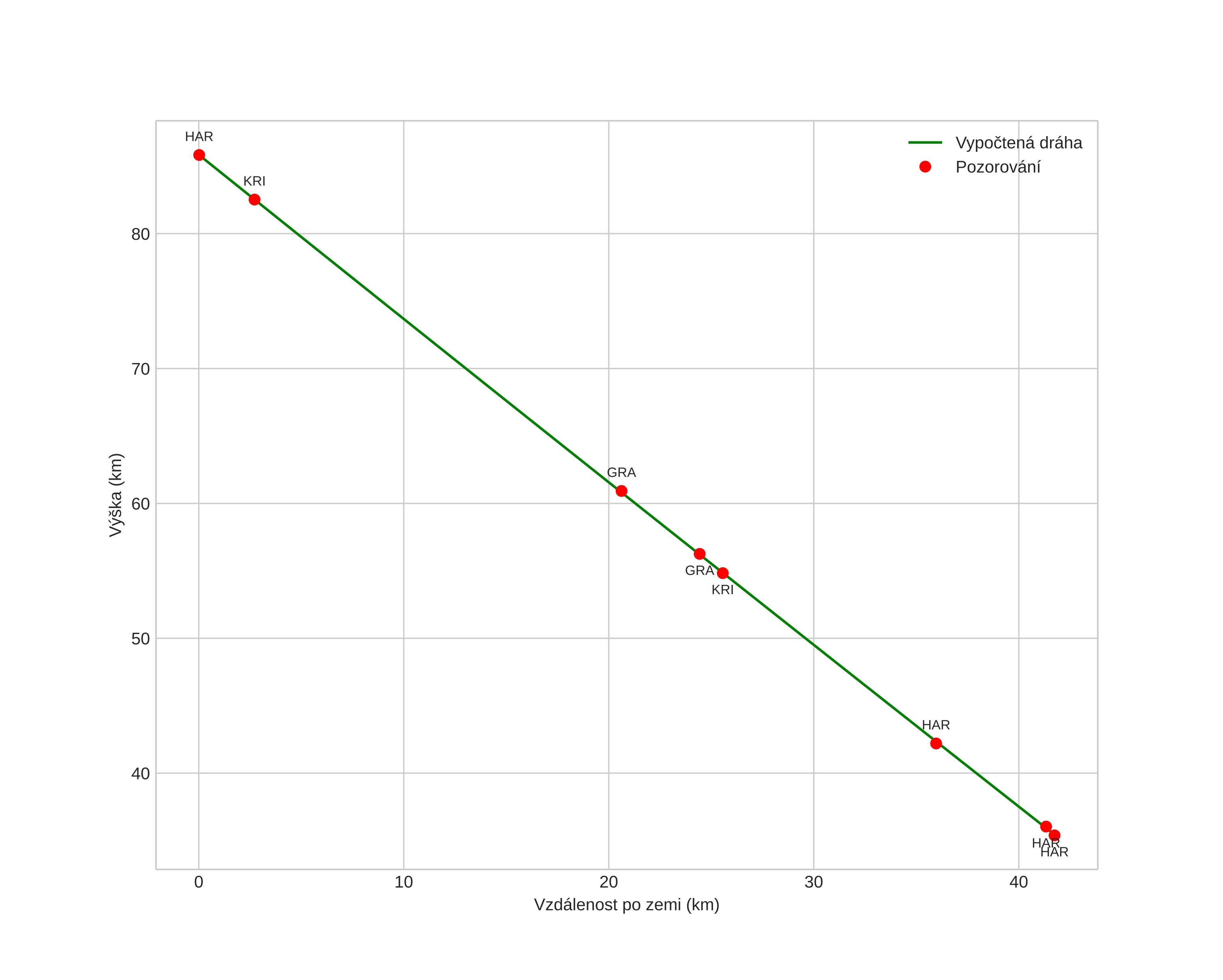
height profile
Atmosférická dráha meteoru:
Počáteční výška: 85,9 km
Konečná výška: 35,4 km
Počáteční poloha: 59,055N 9,659E
Konečná poloha: 59,349N 9,202E
Směr: 321,7°
Sklon: 50,4°
VstupnĂ­ rychlost: 21,8 km/s
Rektascenze radiantu: 07:11 (107,9°)
Deklinace radiantu: 21,0°
MeteorickĂ˝ roj: sporadickĂ˝
Elementy dráhy meteoroidu:
Vzdálenost v periheliu: 0,684 AU
Excentricita: 0,687
Sklon dráhy: 0,8°
Délka vzestupného uzlu: 113,8°
Argument perihelia: 75,3°
Střední anomálie: 346,8°
Epocha: 2017 JAN 13 21:16:05
orbit plot

NeinteraktivnĂ­ graf | InteraktivnĂ­ graf

position vs time
speed and acceleration