🇳🇴 🇬🇧 🇩🇪 🇨🇿 🇫🇮

Meteor, poloha: Bua 2017-01-14 21:25:41 UTC

Soubor KML  |  InteraktivnĂ­ mapa

Mapa zobrazuje dráhy meteoru. Světlejší čáry ukazují směry od pozorovacích stanic při objevení se meteoru a tmavší čáry, kde byl naposledy viděn. Modrá šipka značí viditelnou dráhu meteoru.

static map
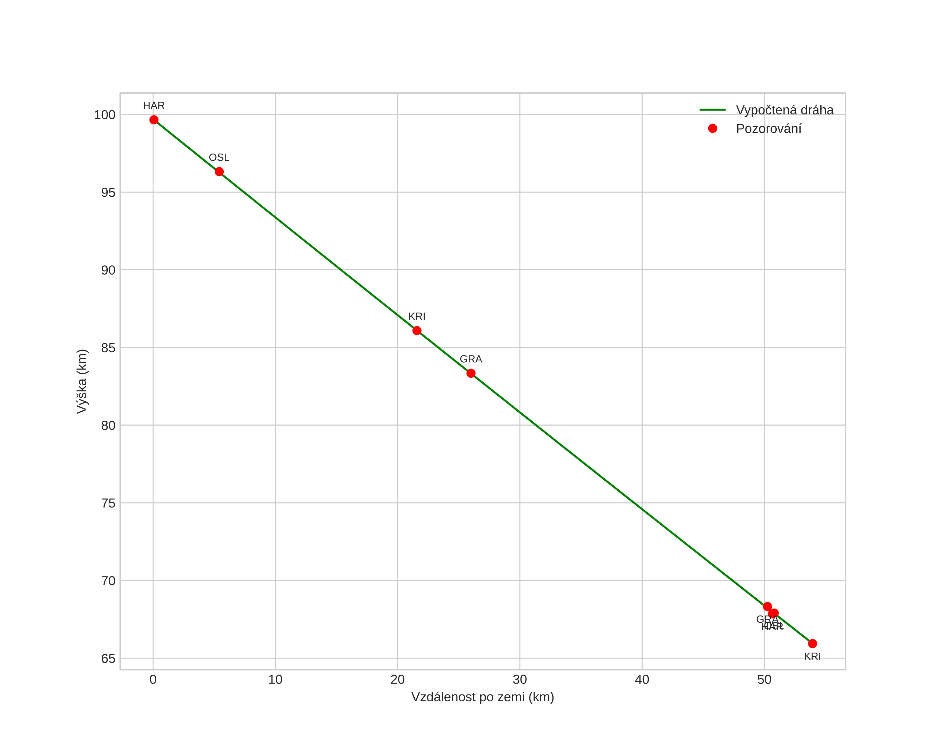
height profile
Atmosférická dráha meteoru:
Počáteční výška: 99,7 km
Konečná výška: 65,9 km
Počáteční poloha: 57,547N 12,042E
Konečná poloha: 57,077N 11,822E
Směr: 194,3°
Sklon: 32,1°
VstupnĂ­ rychlost: 32,5 km/s
Rektascenze radiantu: 16:10 (242,7°)
Deklinace radiantu: 61,1°
MeteorickĂ˝ roj: sporadickĂ˝
Elementy dráhy meteoroidu:
Vzdálenost v periheliu: 0,982 AU
Excentricita: 0,593
Sklon dráhy: 51,6°
Délka vzestupného uzlu: 294,7°
Argument perihelia: 185,8°
Střední anomálie: 358,8°
Epocha: 2017 JAN 14 21:25:41
orbit plot

NeinteraktivnĂ­ graf | InteraktivnĂ­ graf

position vs time
speed and acceleration