🇳🇴 🇬🇧 🇩🇪 🇨🇿 🇫🇮

Meteor, poloha: Vigeland 2017-01-15 17:30:02 UTC

Soubor KML  |  InteraktivnĂ­ mapa

Mapa zobrazuje dráhy meteoru. Světlejší čáry ukazují směry od pozorovacích stanic při objevení se meteoru a tmavší čáry, kde byl naposledy viděn. Modrá šipka značí viditelnou dráhu meteoru.

static map
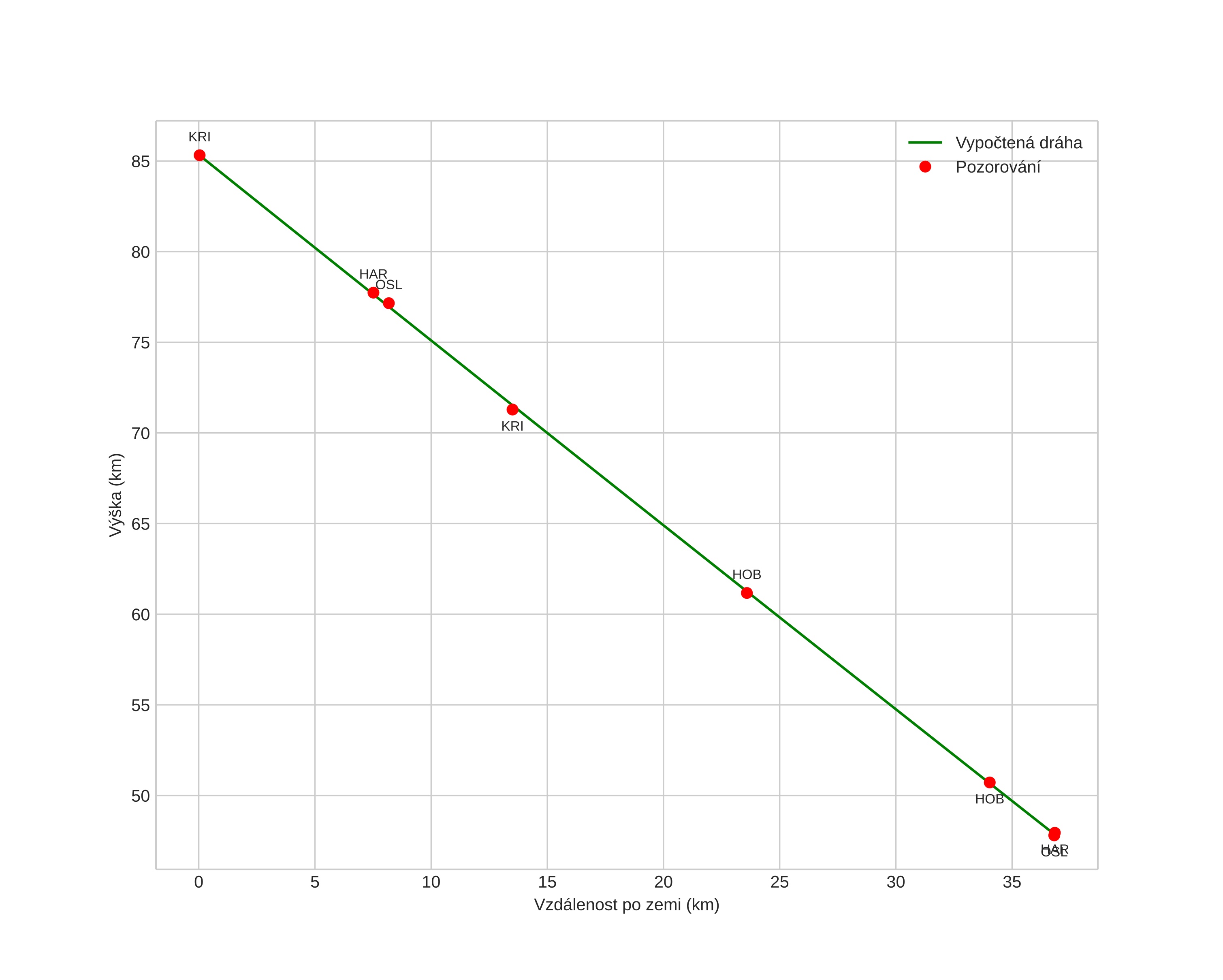
height profile
Atmosférická dráha meteoru:
Počáteční výška: 85,3 km
Konečná výška: 47,8 km
Počáteční poloha: 58,056N 6,855E
Konečná poloha: 57,756N 7,120E
Směr: 154,8°
Sklon: 45,5°
VstupnĂ­ rychlost: 24,0 km/s
Rektascenze radiantu: 17:29 (262,4°)
Deklinace radiantu: 67,6°
MeteorickĂ˝ roj: sporadickĂ˝
Elementy dráhy meteoroidu:
Vzdálenost v periheliu: 0,983 AU
Excentricita: 0,467
Sklon dráhy: 35,8°
Délka vzestupného uzlu: 295,5°
Argument perihelia: 183,6°
Střední anomálie: 358,8°
Epocha: 2017 JAN 15 17:30:02
orbit plot

NeinteraktivnĂ­ graf | InteraktivnĂ­ graf

position vs time
speed and acceleration