🇳🇴 🇬🇧 🇩🇪 🇨🇿 🇫🇮

Meteor, poloha: Vigeland 2017-01-15 17:30:05 UTC

Soubor KML  |  InteraktivnĂ­ mapa

Mapa zobrazuje dráhy meteoru. Světlejší čáry ukazují směry od pozorovacích stanic při objevení se meteoru a tmavší čáry, kde byl naposledy viděn. Modrá šipka značí viditelnou dráhu meteoru.

static map
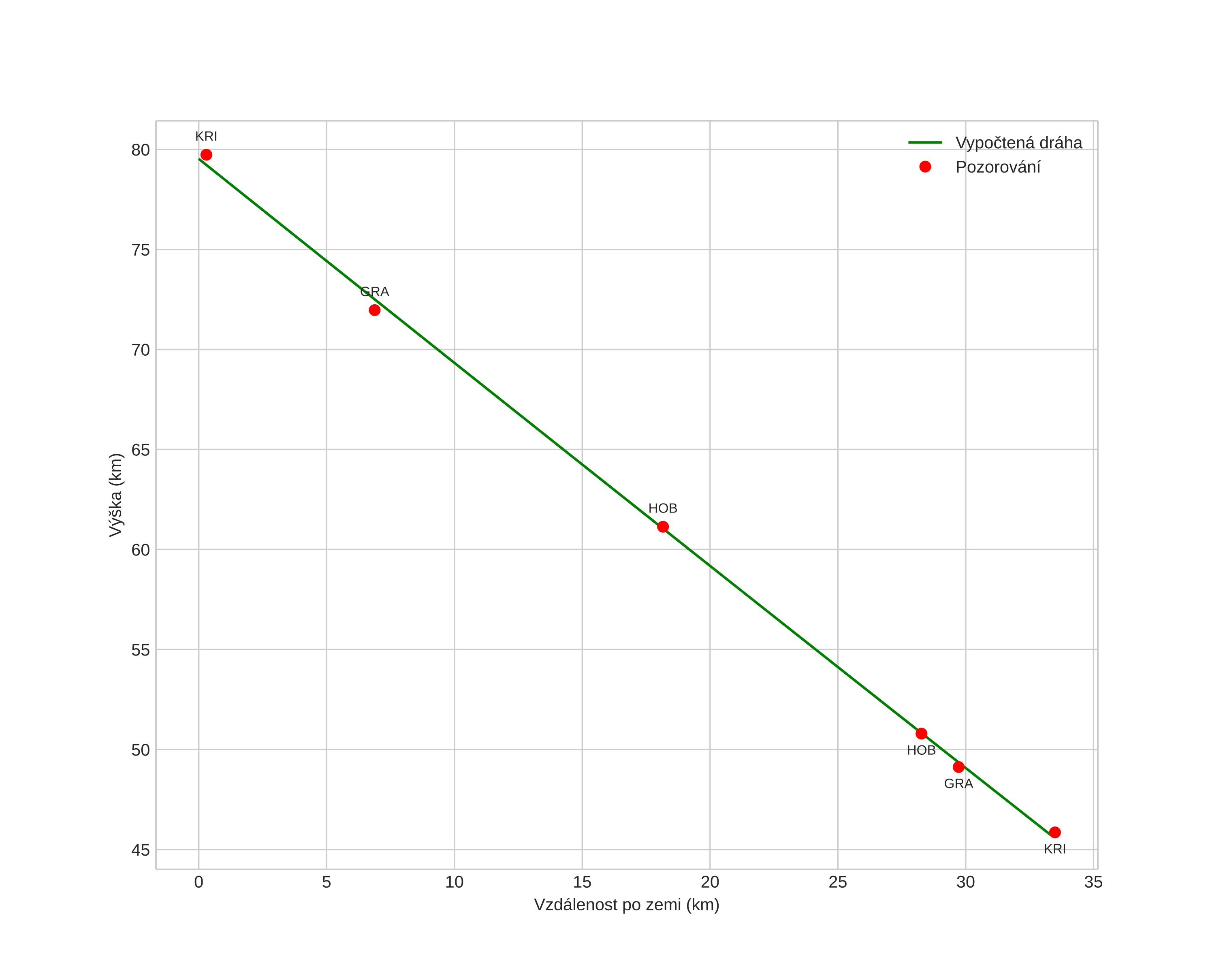
height profile
Atmosférická dráha meteoru:
Počáteční výška: 79,5 km
Konečná výška: 45,7 km
Počáteční poloha: 58,014N 6,907E
Konečná poloha: 57,738N 7,129E
Směr: 156,8°
Sklon: 45,4°
VstupnĂ­ rychlost: 23,3 km/s
Rektascenze radiantu: 17:16 (259,1°)
Deklinace radiantu: 68,2°
MeteorickĂ˝ roj: sporadickĂ˝
Elementy dráhy meteoroidu:
Vzdálenost v periheliu: 0,982 AU
Excentricita: 0,419
Sklon dráhy: 35,0°
Délka vzestupného uzlu: 295,5°
Argument perihelia: 186,3°
Střední anomálie: 357,7°
Epocha: 2017 JAN 15 17:30:05
orbit plot

NeinteraktivnĂ­ graf | InteraktivnĂ­ graf

position vs time
speed and acceleration