🇳🇴 🇬🇧 🇩🇪 🇨🇿 🇫🇮

Meteor, poloha: Tjøme 2017-01-19 19:47:56 UTC

Soubor KML  |  InteraktivnĂ­ mapa

Mapa zobrazuje dráhy meteoru. Světlejší čáry ukazují směry od pozorovacích stanic při objevení se meteoru a tmavší čáry, kde byl naposledy viděn. Modrá šipka značí viditelnou dráhu meteoru.

static map
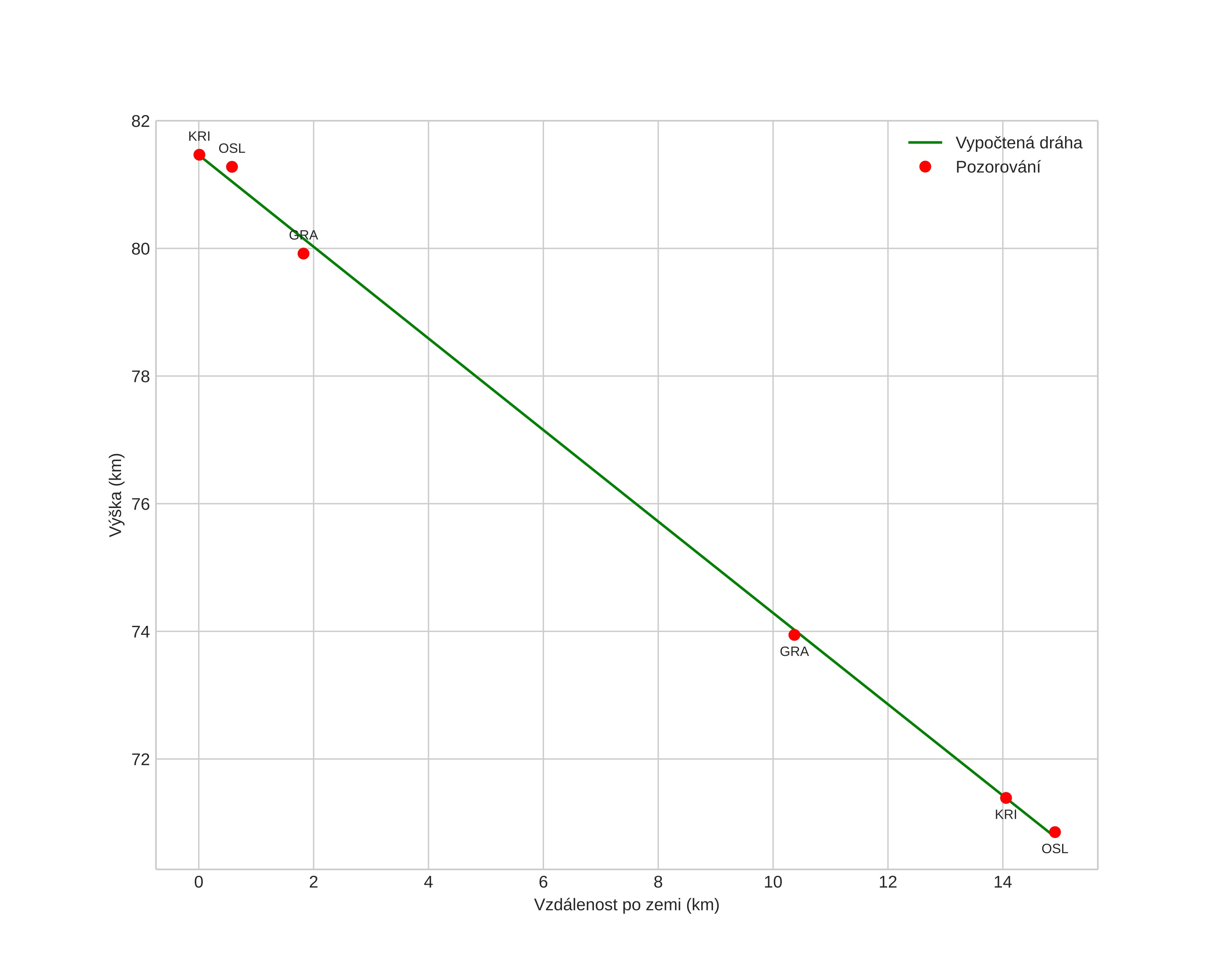
height profile
Atmosférická dráha meteoru:
Počáteční výška: 81,5 km
Konečná výška: 70,8 km
Počáteční poloha: 58,699N 10,215E
Konečná poloha: 58,691N 10,472E
Směr: 93,3°
Sklon: 35,7°
VstupnĂ­ rychlost: 15,8 km/s
Rektascenze radiantu: 23:10 (347,7°)
Deklinace radiantu: 23,2°
MeteorickĂ˝ roj: sporadickĂ˝
Elementy dráhy meteoroidu:
Vzdálenost v periheliu: 0,962 AU
Excentricita: 0,765
Sklon dráhy: 7,4°
Délka vzestupného uzlu: 299,7°
Argument perihelia: 161,6°
Střední anomálie: 1,6°
Epocha: 2017 JAN 19 19:47:56
orbit plot

NeinteraktivnĂ­ graf | InteraktivnĂ­ graf

position vs time
speed and acceleration