🇳🇴 🇬🇧 🇩🇪 🇨🇿 🇫🇮

Meteor, poloha: Töcksfors 2017-01-21 03:39:27 UTC

Soubor KML  |  InteraktivnĂ­ mapa

Mapa zobrazuje dráhy meteoru. Světlejší čáry ukazují směry od pozorovacích stanic při objevení se meteoru a tmavší čáry, kde byl naposledy viděn. Modrá šipka značí viditelnou dráhu meteoru.

static map
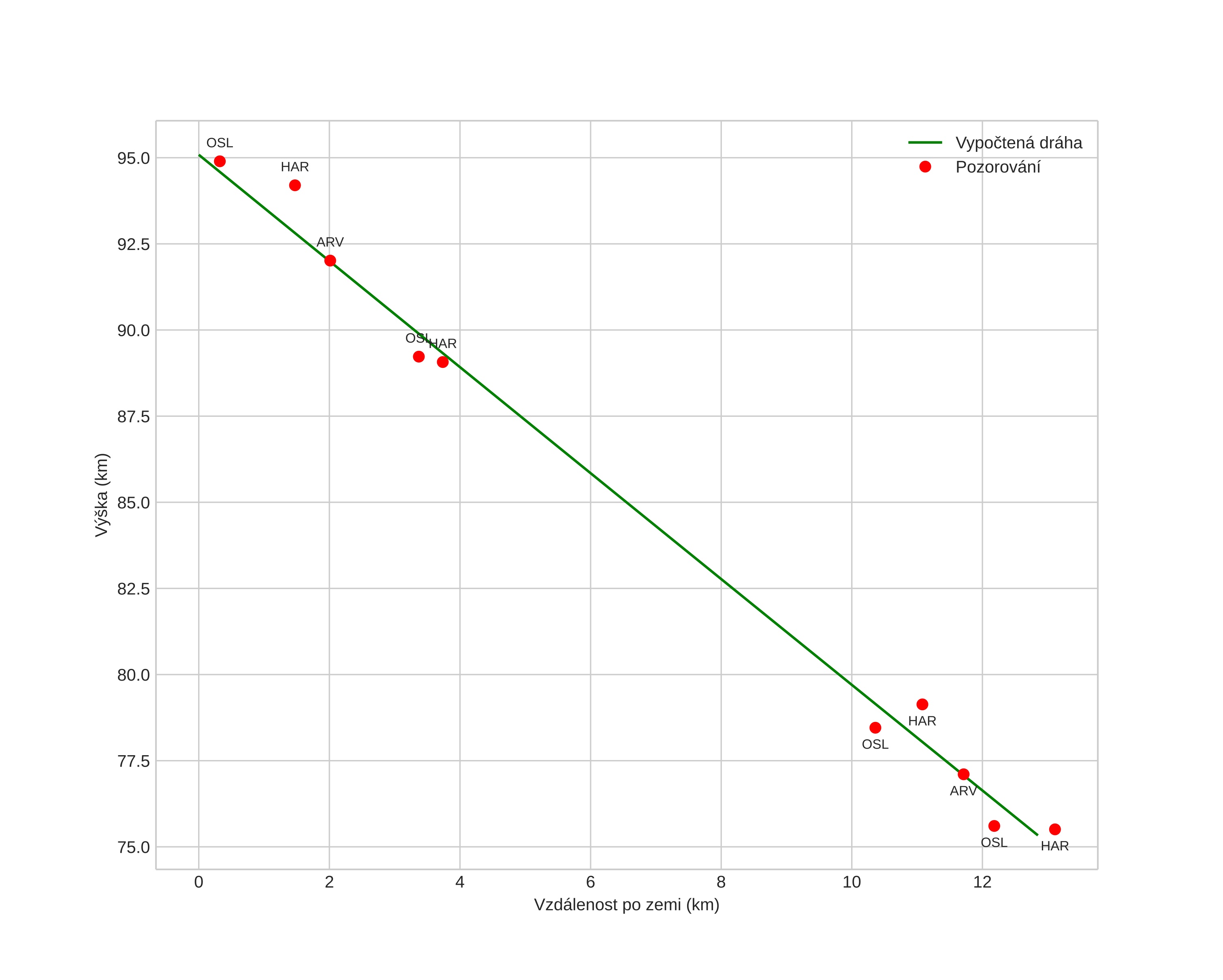
height profile
Atmosférická dráha meteoru:
Počáteční výška: 95,1 km
Konečná výška: 75,3 km
Počáteční poloha: 59,523N 12,065E
Konečná poloha: 59,434N 11,920E
Směr: 219,7°
Sklon: 57,0°
VstupnĂ­ rychlost: 25,1 km/s
Rektascenze radiantu: 18:04 (271,2°)
Deklinace radiantu: 69,0°
MeteorickĂ˝ roj: sporadickĂ˝
Elementy dráhy meteoroidu:
Vzdálenost v periheliu: 0,984 AU
Excentricita: 0,617
Sklon dráhy: 36,0°
Délka vzestupného uzlu: 301,1°
Argument perihelia: 182,2°
Střední anomálie: 359,6°
Epocha: 2017 JAN 21 03:39:27
orbit plot

NeinteraktivnĂ­ graf | InteraktivnĂ­ graf

position vs time
speed and acceleration