🇳🇴 🇬🇧 🇩🇪 🇨🇿 🇫🇮

Meteor, poloha: Eidfjord 2017-01-23 21:10:31 UTC

Soubor KML  |  InteraktivnĂ­ mapa

Mapa zobrazuje dráhy meteoru. Světlejší čáry ukazují směry od pozorovacích stanic při objevení se meteoru a tmavší čáry, kde byl naposledy viděn. Modrá šipka značí viditelnou dráhu meteoru.

static map
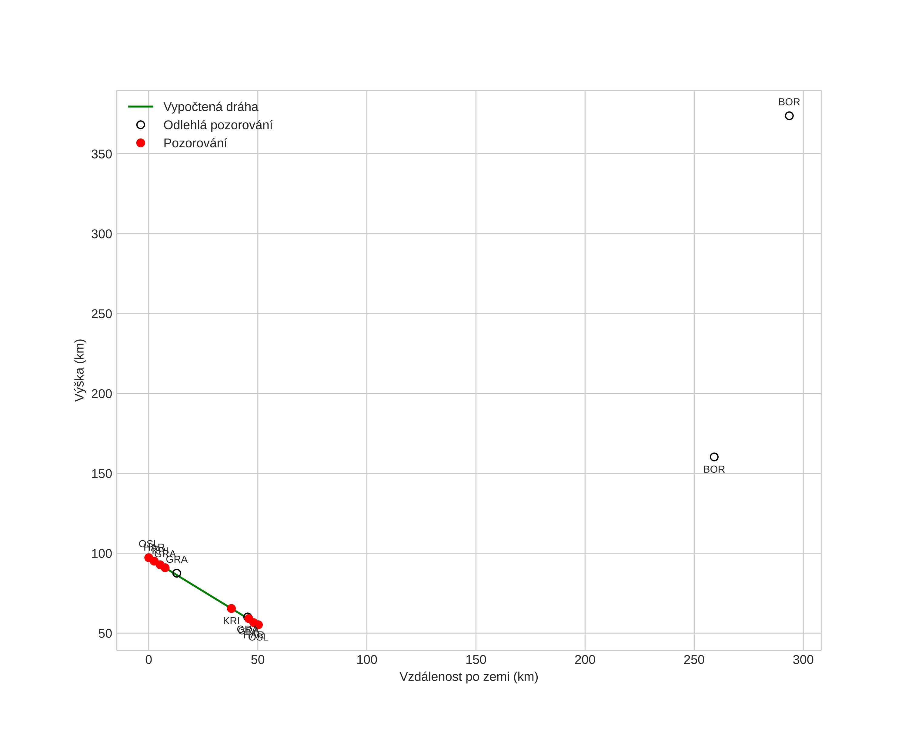
height profile
Atmosférická dráha meteoru:
Počáteční výška: 97,2 km
Konečná výška: 55,2 km
Počáteční poloha: 60,087N 8,431E
Konečná poloha: 60,309N 7,639E
Směr: 299,8°
Sklon: 39,9°
VstupnĂ­ rychlost: 29,6 km/s
Rektascenze radiantu: 09:01 (135,4°)
Deklinace radiantu: 19,8°
MeteorickĂ˝ roj: sporadickĂ˝
Elementy dráhy meteoroidu:
Vzdálenost v periheliu: 0,417 AU
Excentricita: 0,817
Sklon dráhy: 2,9°
Délka vzestupného uzlu: 303,8°
Argument perihelia: 286,4°
Střední anomálie: 347,7°
Epocha: 2017 JAN 23 21:10:31
orbit plot

NeinteraktivnĂ­ graf | InteraktivnĂ­ graf

position vs time
speed and acceleration