🇳🇴 🇬🇧 🇩🇪 🇨🇿 🇫🇮

Meteor, poloha: Nesbyen 2017-02-14 20:27:38 UTC

Soubor KML  |  InteraktivnĂ­ mapa

Mapa zobrazuje dráhy meteoru. Světlejší čáry ukazují směry od pozorovacích stanic při objevení se meteoru a tmavší čáry, kde byl naposledy viděn. Modrá šipka značí viditelnou dráhu meteoru.

static map
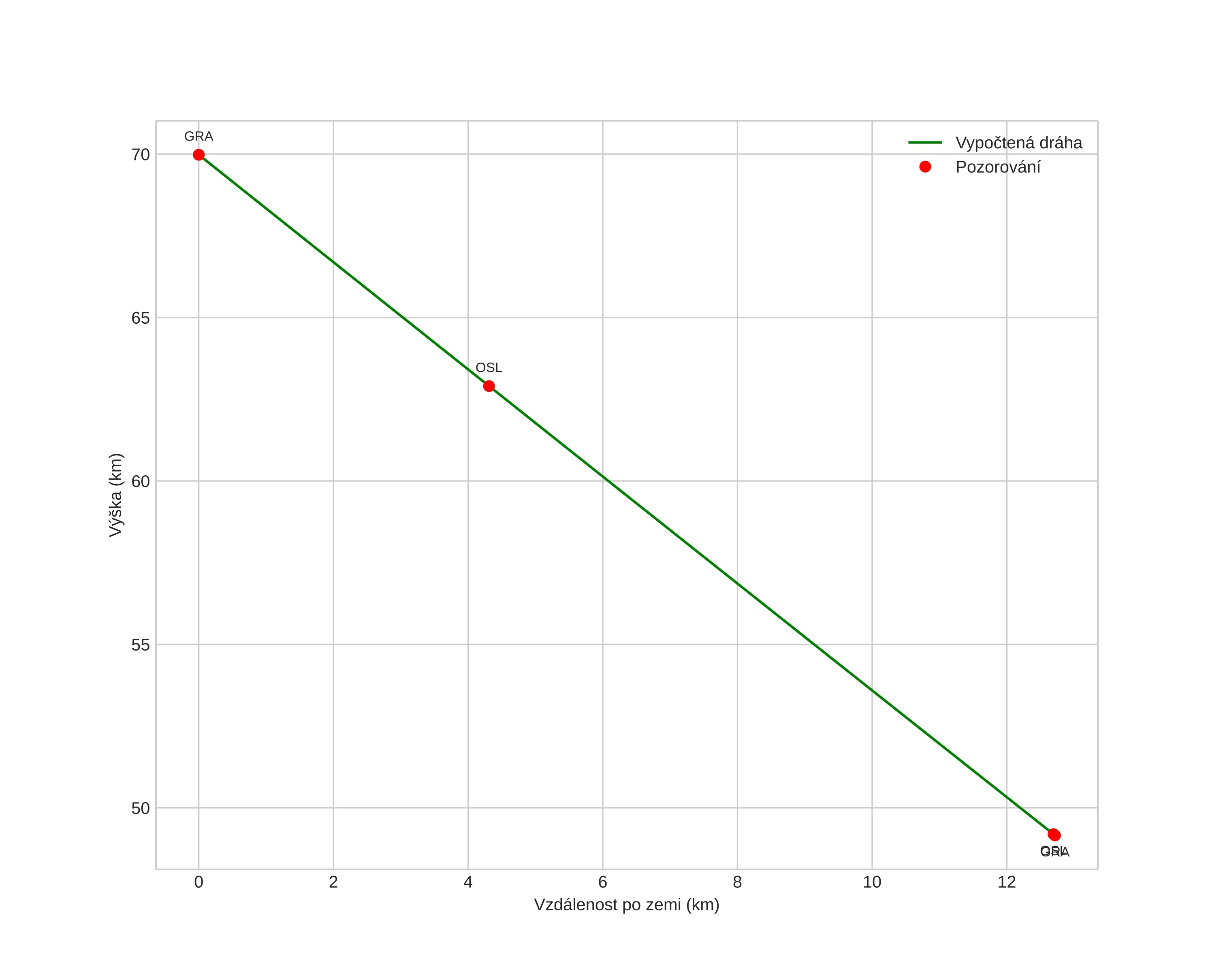
height profile
Atmosférická dráha meteoru:
Počáteční výška: 70,0 km
Konečná výška: 49,2 km
Počáteční poloha: 60,655N 9,218E
Konečná poloha: 60,763N 9,144E
Směr: 341,6°
Sklon: 58,6°
VstupnĂ­ rychlost: 16,5 km/s
Rektascenze radiantu: 07:26 (111,7°)
Deklinace radiantu: 25,3°
MeteorickĂ˝ roj: sporadickĂ˝
Elementy dráhy meteoroidu:
Vzdálenost v periheliu: 0,915 AU
Excentricita: 0,675
Sklon dráhy: 1,1°
Délka vzestupného uzlu: 326,0°
Argument perihelia: 215,2°
Střední anomálie: 354,7°
Epocha: 2017 FEB 14 20:27:38
orbit plot

NeinteraktivnĂ­ graf | InteraktivnĂ­ graf

position vs time
speed and acceleration